Ultimele actualizari :
04/02/2026
Infostab
Listele
Listele
Cercetări de compatibilitate
Tabel de compatibilitate Y-site
Bibliografie
Echipe de cercetare
valistab
poster
Conexiuni
sponsori
Autor
Mod de utilizare
Newsletter
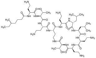
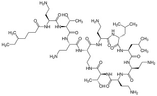
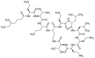
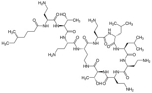
Colistin sulfate
Formula chimica
Stabilitatea preparatelor farmaceutice : Colistin sulfate
Absenta de date
Mentions Légales