آخر تحديث :
04/02/2026
Infostab
قائمة المركبات
ملخص القوائم
ابحث عن التوافق
جدول توافق موقع ص
مراجع
فرق البحث
valistab
الملصق
الروابط
الرعاة
الكتاب
دليل المستخدم
النشرة الإخبارية
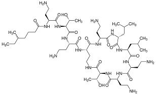
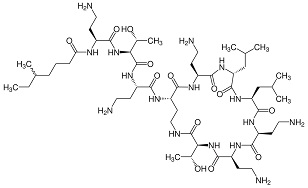
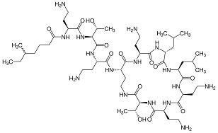
Colistin sulfate
التركيب الكيميائي
استقرار المستحضرات الصيدلانية : Colistin sulfate
لا توجد بيانات
Mentions Légales