Last update :
05/12/2025
Infostab
List of drugs
Summary lists
Search for compatibilities
Y-site compatibility table
References
Research teams
valistab
Poster
Links
Sponsors
Authors
User’s guide
Newsletter
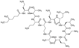
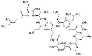
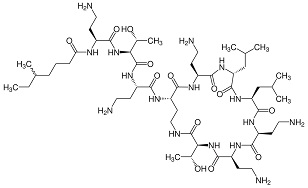
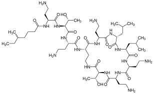
Colistin sulfate
Chemical structure
Stability of pharmaceutical preparations : Colistin sulfate
No data
Mentions Légales