Poslední aktualizace :
18/03/2026
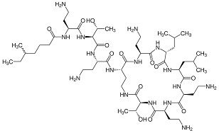
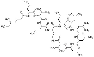
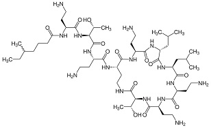
Antibiotikum   Colistin sulfate  
Perorální roztok
Stabilita farmaceutických přípravků Stabilita směsí Faktory ovlivňující stabilitu Kompatibilita Odkazy pdf
   Chemický vzorec  

Perorální roztok
Stabilita farmaceutických přípravků   Perorální roztok   Stabilita farmaceutických přípravků : Colistin sulfate     
žádná data

  Mentions Légales