Τελευταία ενημέρωση :
05/12/2025
Λοιπά   Baclofen  
Αλοιφές
Ενέσιμο Πόσιμο διάλυμα
Σταθερότητα και συμβατότητα των φαρμάκων Σταθερότητα σε μίγματα Παράγοντας που επηρεάζει τη σταθερότητα Συμβατότητες Βιβλιογραφία pdf
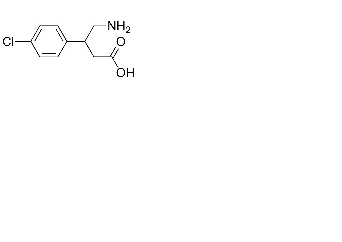
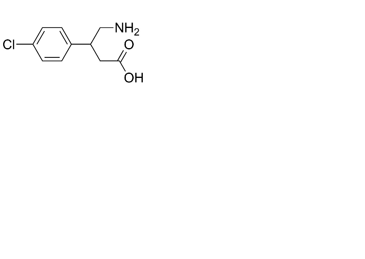
   χημική δομή  

Αλοιφές
Σταθερότητα και συμβατότητα των φαρμάκων   Αλοιφές   Σταθερότητα και συμβατότητα των φαρμάκων : Baclofen     
Δεν υπάρχουν πληροφορίες

  Mentions Légales