Poslední aktualizace :
05/12/2025
Įvairūs   Baclofen  
Tepalai
Geriamas tirpalas Įpurškimas
Stabilumas farmacinių preparatų Mišinių stabilumas Stabilumą lemiantys veiksniai Suderinamumas Bibliografija pdf
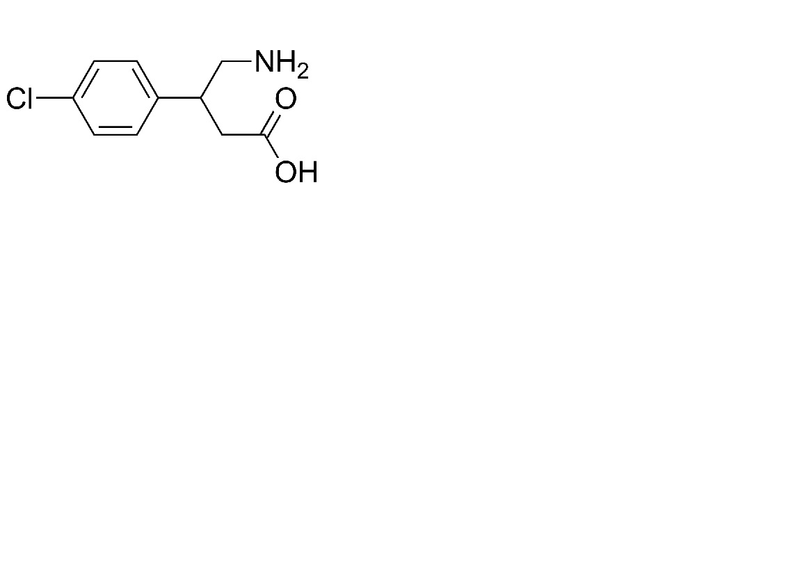
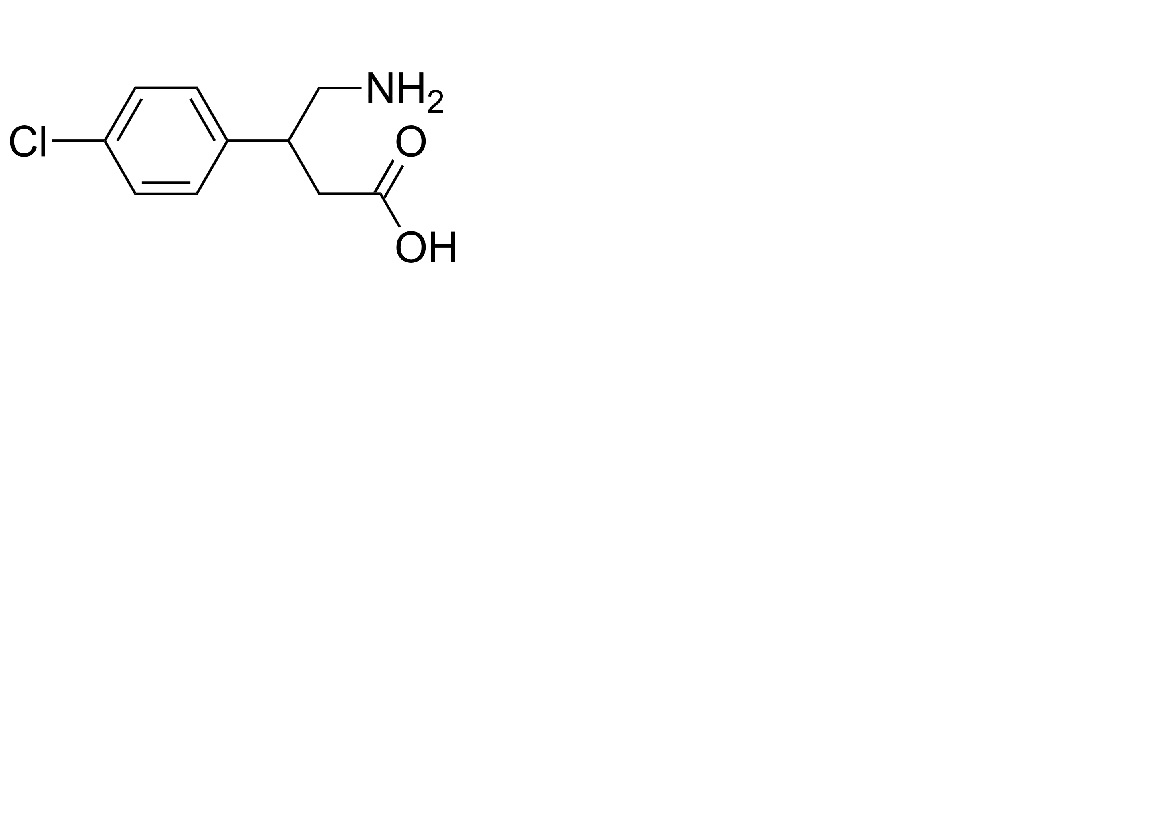
   Cheminė sandara  

Tepalai
Stabilumas farmacinių preparatų   Tepalai   Stabilumas farmacinių preparatų : Baclofen     
Nėra duomenų

  Mentions Légales