Posledná aktualizácia :
18/03/2026
rôzne   Baclofen  
Dermálny prípravok
Injekcia Perorálny roztok
Stabilita farmaceutických prípravkov Stabilita v zmesiach Faktory ovplyvňujúce stabilitu Kompatibility Odkazy na literatúru PDF
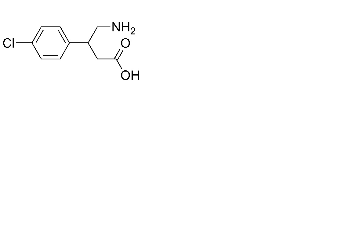
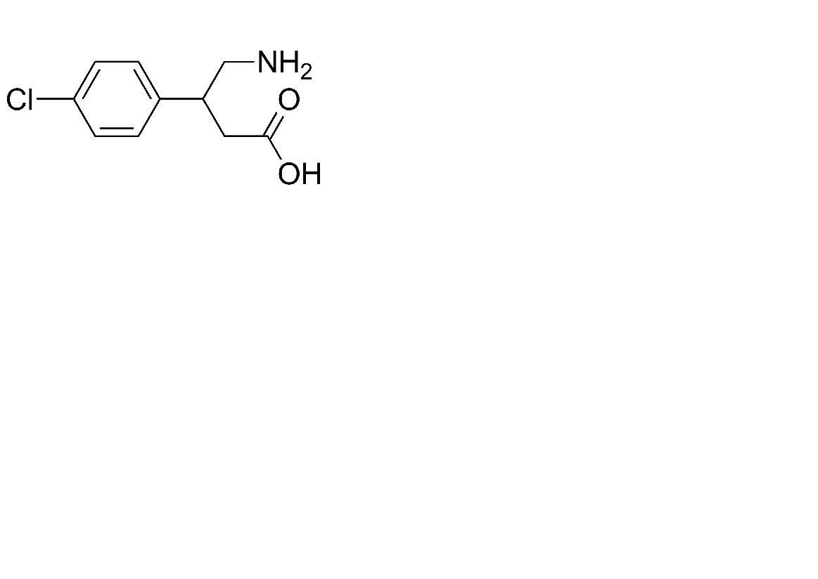
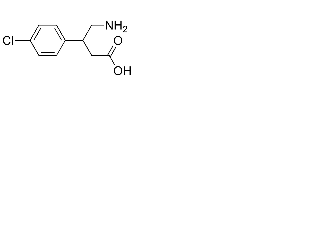
   Chemický vzorec  

Dermálny prípravok
Stabilita farmaceutických prípravkov   Dermálny prípravok   Stabilita farmaceutických prípravkov : Baclofen     
žiadne údaje

  Mentions Légales