Last update :
18/03/2026
Various   Baclofen  
Ointments
injection Oral solution
Stability of pharmaceutical preparations Stability of mixtures Factors which affect stability Compatibility References pdf
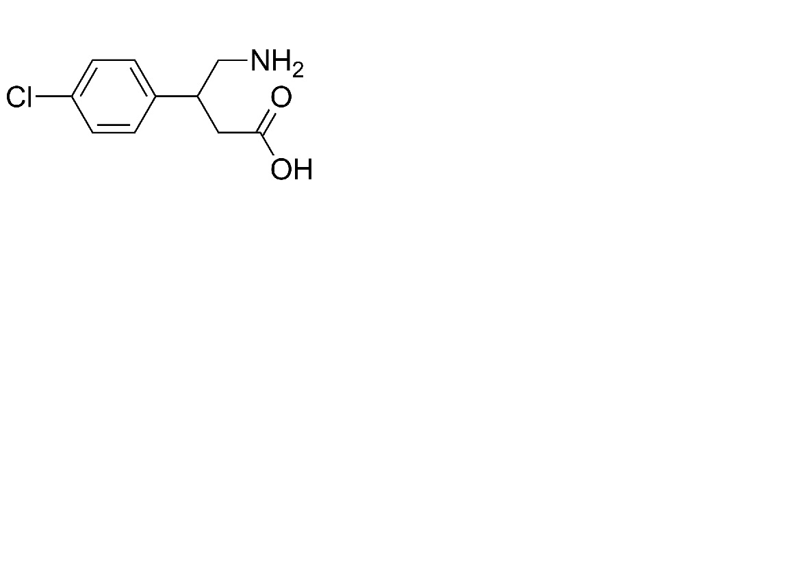
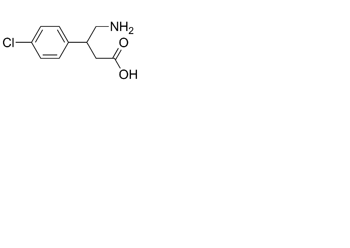
   Chemical structure  

Ointments
Stability of pharmaceutical preparations   Ointments   Stability of pharmaceutical preparations : Baclofen     
No data

  Mentions Légales