Poslední aktualizace :
18/03/2026
Různé   Baclofen  
Masti
injekce Perorální roztok
Stabilita farmaceutických přípravků Stabilita směsí Faktory ovlivňující stabilitu Kompatibilita Odkazy pdf
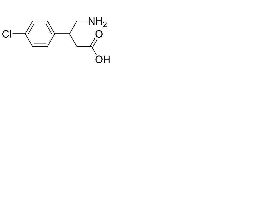
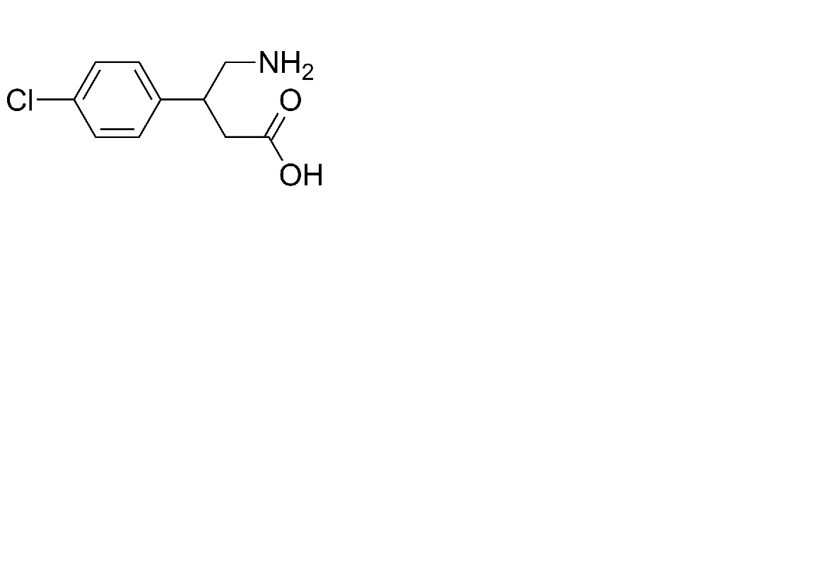
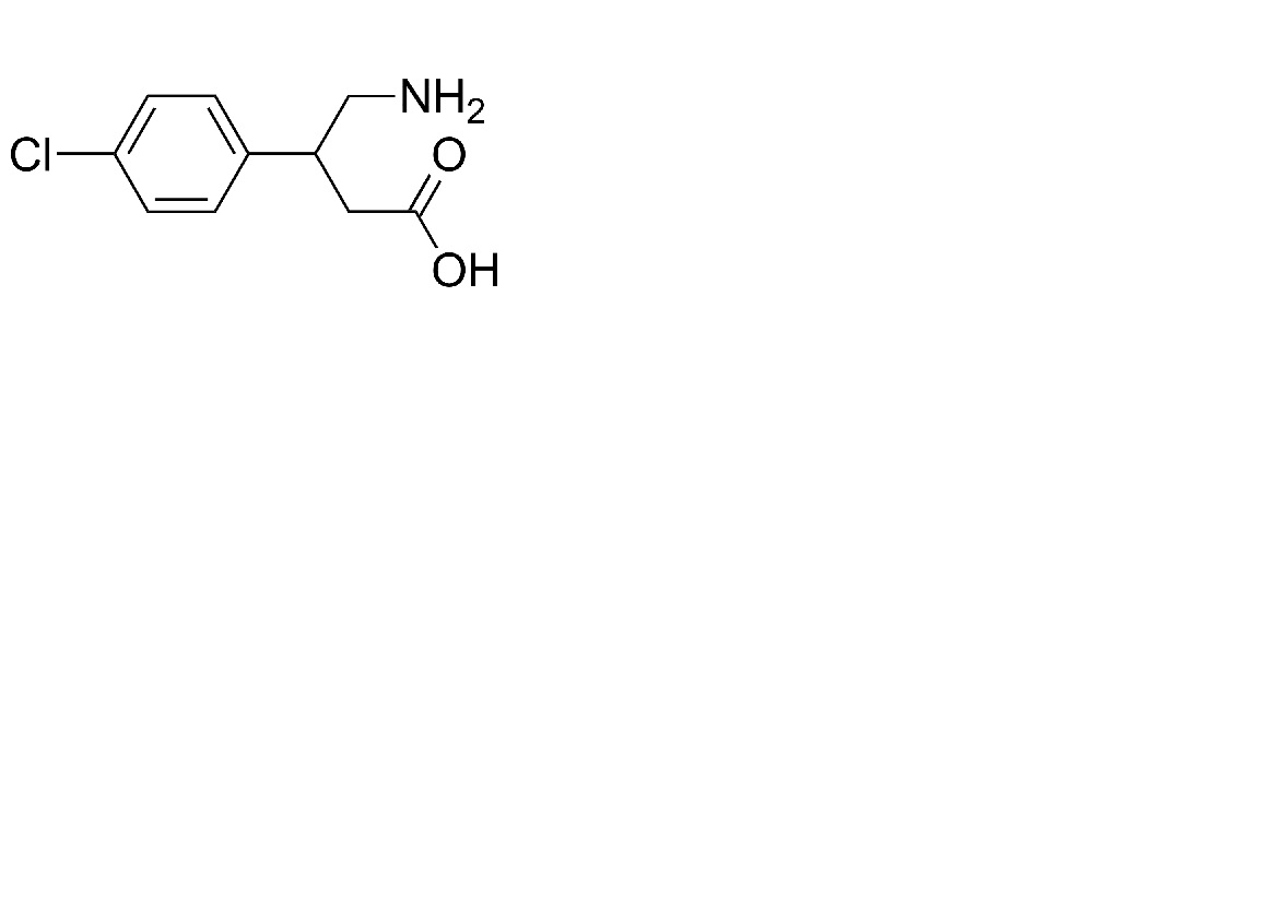
   Chemický vzorec  

Masti
Stabilita farmaceutických přípravků   Masti   Stabilita farmaceutických přípravků : Baclofen     
žádná data

  Mentions Légales