Viimeisin päivitys :
05/12/2025
Muut   Baclofen  
Salvat
Injektioneste Oraaliliuos
Vakaus lääkevalmisteen Stabilius seoksissa Tekijät, jotka vaikuttavat stabiliuteen Yhteensopivuus Viitteet pdf
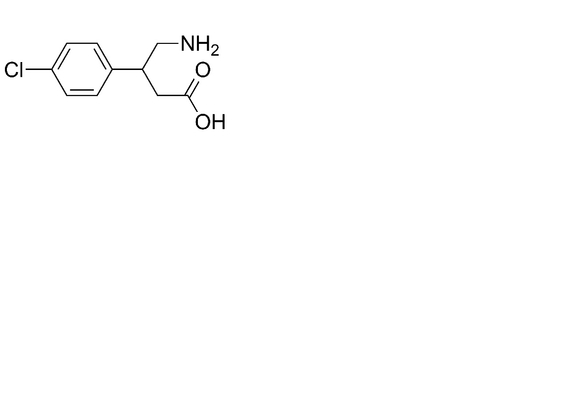
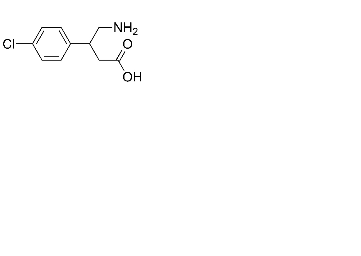
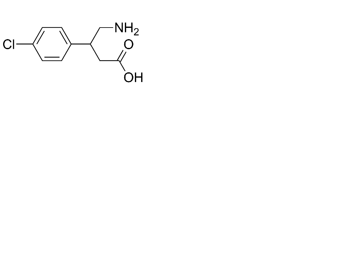
   Kemiallinen rakenne  

Salvat
Vakaus lääkevalmisteen   Salvat   Vakaus lääkevalmisteen : Baclofen     
ei tietoa

  Mentions Légales