Posledná aktualizácia :
18/03/2026
rôzne   Indocyanine green  
Injekcia
Stabilita roztokov Stabilita v zmesiach Faktory ovplyvňujúce stabilitu Kompatibility spôsob podania Odkazy na literatúru PDF
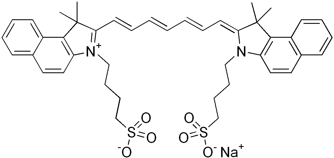
   Chemický vzorec  

Obchodný názov   Obchodný názov     

Obchodné názvy sú orientačné, a zloženie pomocných látok sa môže líšiť v závislosti od krajiny a výrobcu.

Infracyanine Francúzsko
Verdye Belgicko, Írsko, Maďarsko, Nemecko, Rumunsko, Španielsko, Švédsko, Taliansko
Stabilita roztokov   Injekcia   Stabilita roztokov : Indocyanine green     
obal rozpúšťadlo koncentrácia teplota uchovávanie Trvanie stability odkazy na lieteratúru
Sklo voda na injekciu 0,025 mg/ml 4°C Chránené pred svetlom
24 hodín
4289
Úroveň dôkazov D

Injekčná striekačka polypropylén voda na injekciu 2,5 mg/ml -20°C nešpecifikované
28 dní
4246
Úroveň dôkazov C

Injekčná striekačka polypropylén voda na injekciu 2,5 mg/ml 25°C nešpecifikované
30 hodín
4246
Úroveň dôkazov C

Injekčná striekačka polypropylén voda na injekciu 2,5 mg/ml 4°C nešpecifikované
32 hodín
4246
Úroveň dôkazov C


  Mentions Légales