آخر تحديث :
27/11/2025
مختلف   Indocyanine green  
حقن
الاستقرار في حلول استقرار مخاليط العوامل التي تؤثر على الاستقرار التوافق طريقة التعاطي مراجع pdf
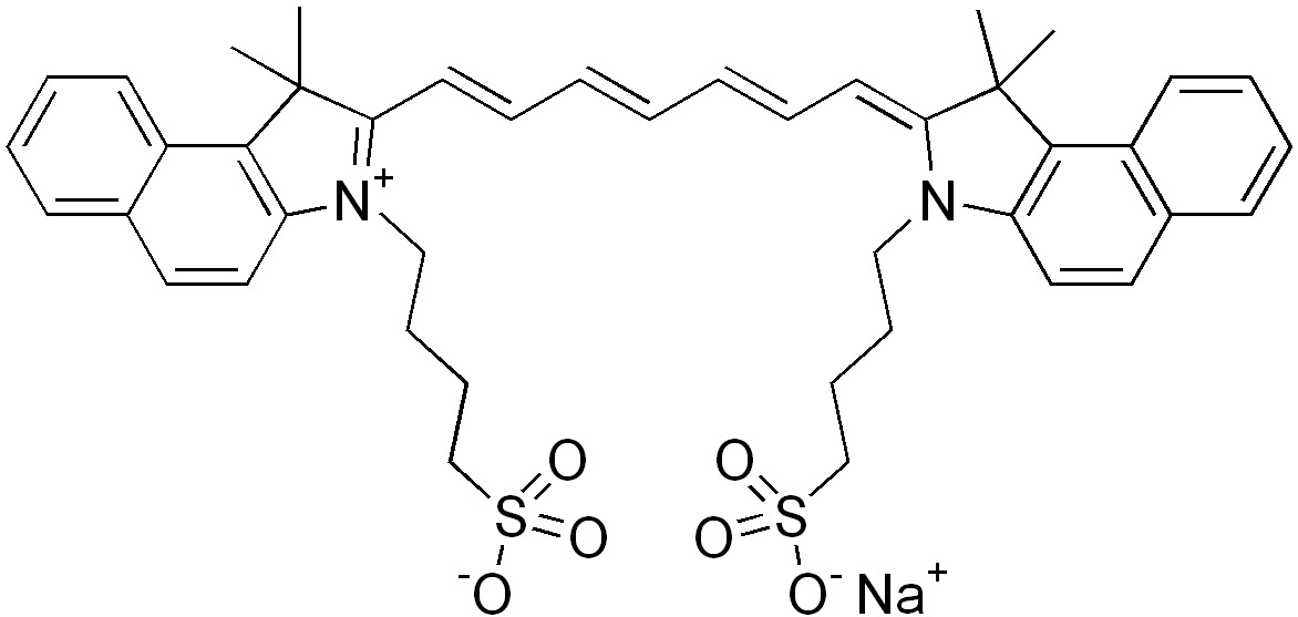
   التركيب الكيميائي  

حجز الاسم التجاري   حجز الاسم التجاري     

تحذير الأسماء التجاريه المختلفه قد تحتوي علي محتوي إضافات مختلفة حسب الدوله و المعمل

Infracyanine فرنسا
Verdye ألمانيا, إسبانيا, إيطاليا, السويد, ايرلندا, بلجيكا, رومانيا, هنغاريا
الاستقرار في حلول   حقن   الاستقرار في حلول : Indocyanine green     
حاوية مذيب تركيز درجة الحرارة تخزين مدة الاستقرار مراجع
زجاج حقن المياه لل 0,025 mg/ml 4°C بعيدا عن الضوء
24 ساعة
4289
D مستوى الأدلة

محقنة البولي بروبلين حقن المياه لل 2,5 mg/ml -20°C لم يتم تحديد
28 يوم
4246
C مستوى الأدلة

محقنة البولي بروبلين حقن المياه لل 2,5 mg/ml 25°C لم يتم تحديد
30 ساعة
4246
C مستوى الأدلة

محقنة البولي بروبلين حقن المياه لل 2,5 mg/ml 4°C لم يتم تحديد
32 ساعة
4246
C مستوى الأدلة


  Mentions Légales