Последнее обновление :
27/11/2025
Разное   Indocyanine green  
Инъекция
Стабильность растворов Стабильность смесей Факторы, которые влияют на стабильность Совместимость Способы введения Библиография pdf
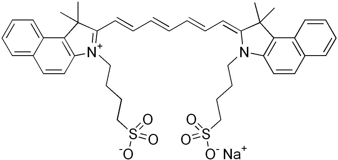
   Химическая структура  

Товарное название   Товарное название     

Trade names are indicative and excipients composition can be different depending on the country and manufacturers

Infracyanine Франция
Verdye Бельгия, Венгрия, Германия, Ирландия, Испания, Италия, Румыния, Швеция
Стабильность растворов   Инъекция   Стабильность растворов : Indocyanine green     
Упаковка Растворитель Концентрация Температура Хранение Продолжительность стабильности Ссылки
Стекло Вода для инъекций 0,025 mg/ml 4°C Защищён от света
24 Час
4289
Уровень доказательности D

Шприц полипропилен Вода для инъекций 2,5 mg/ml -20°C Не указано
28 День
4246
Уровень доказательности C

Шприц полипропилен Вода для инъекций 2,5 mg/ml 25°C Не указано
30 Час
4246
Уровень доказательности C

Шприц полипропилен Вода для инъекций 2,5 mg/ml 4°C Не указано
32 Час
4246
Уровень доказательности C


  Mentions Légales