最新更新 :
05/12/2025
Infostab
薬剤一覧
まとめ一覧
互換性の検索
Yサイト対応表
引用文献
研究チーム
valistab
ポスター
接続
スポンサー
作成者
ユーザーガイド
ニュースレター
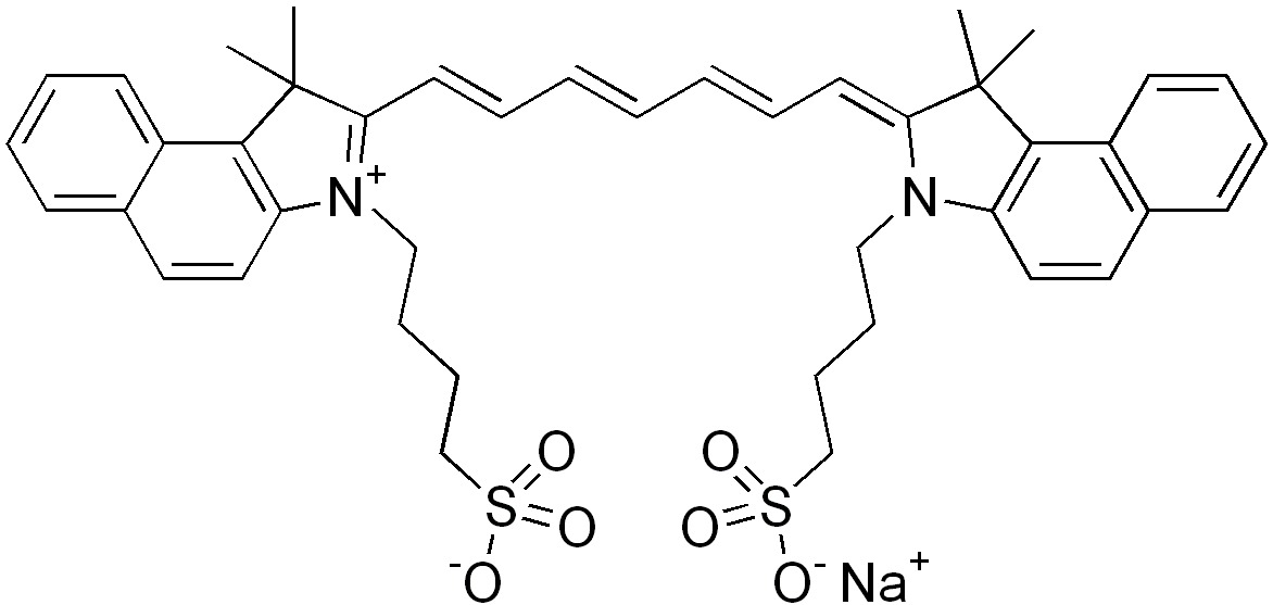
Indocyanine green
化学構造
商品名
商品名、賦形剤は国、製薬会社ごとに異なることがあります
Infracyanine
フランス
Verdye
アイルランド, イタリア, スウェーデン, スペイン, ドイツ, ハンガリー, ベルギー, ルーマニア
溶媒内の安定性 : Indocyanine green
0,025 mg/ml
4°C
24
4289
2,5 mg/ml
-20°C
28
4246
2,5 mg/ml
25°C
30
4246
2,5 mg/ml
4°C
32
4246
Mentions Légales