Última actualização :
17/12/2025
Varios   Indocyanine green  
injetável
Estabilidade em soluções simples Estabilidade em misturas Factores que afectam a sua estabilidade Compatibilidade Método de administração Bibliografía pdf
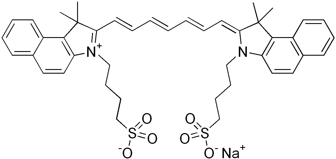
   estrutura química  

Nomes comerciais nos diversos países   Nomes comerciais nos diversos países     

OS NOMES COMERCIAIS SÃO INDICATIVOS E OS EXCIPIENTES DA FORMULAÇÃO PODEM SER DIFERENTES CONFORME O PAÍS E FABRICANTE.

Infracyanine França
Verdye Alemanha, Bélgica, Espanha, Hungria, Irlanda, Itália, Romènia, Suècia
Estabilidade em soluções simples   injetável   Estabilidade em soluções simples : Indocyanine green     
Embalagem Solvente concentração temperatura conservação Duração da estabilidade Bibliografia
vidro Agua para injectaveis 0,025 mg/ml 4°C ao abrigo da luz
24 hora
4289
Nível de evidência D

seringa polipropylen Agua para injectaveis 2,5 mg/ml -20°C no especificado
28 dia
4246
Nível de evidência C

seringa polipropylen Agua para injectaveis 2,5 mg/ml 25°C no especificado
30 hora
4246
Nível de evidência C

seringa polipropylen Agua para injectaveis 2,5 mg/ml 4°C no especificado
32 hora
4246
Nível de evidência C


  Mentions Légales