Dernière mise à jour :
05/12/2025
Divers   Indocyanine green  
injectable
Stabilité des solutions Stabilité en mélange Facteur influençant la stabilité Compatibilités Voie d’administration Bibliographie pdf
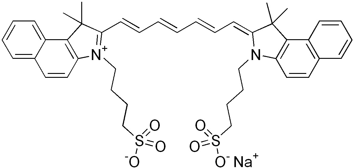
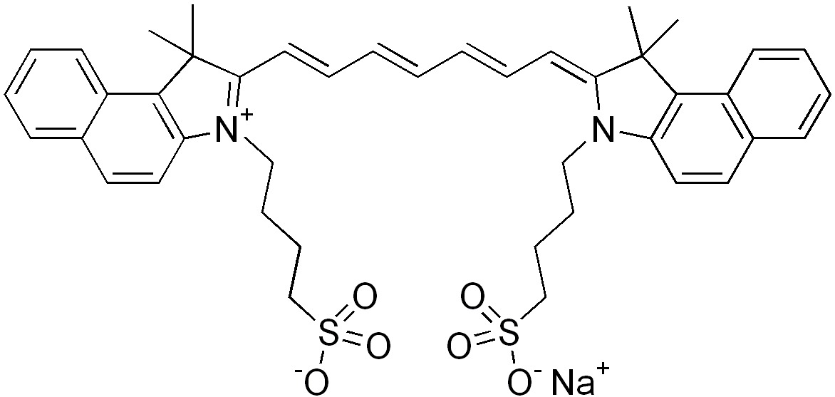
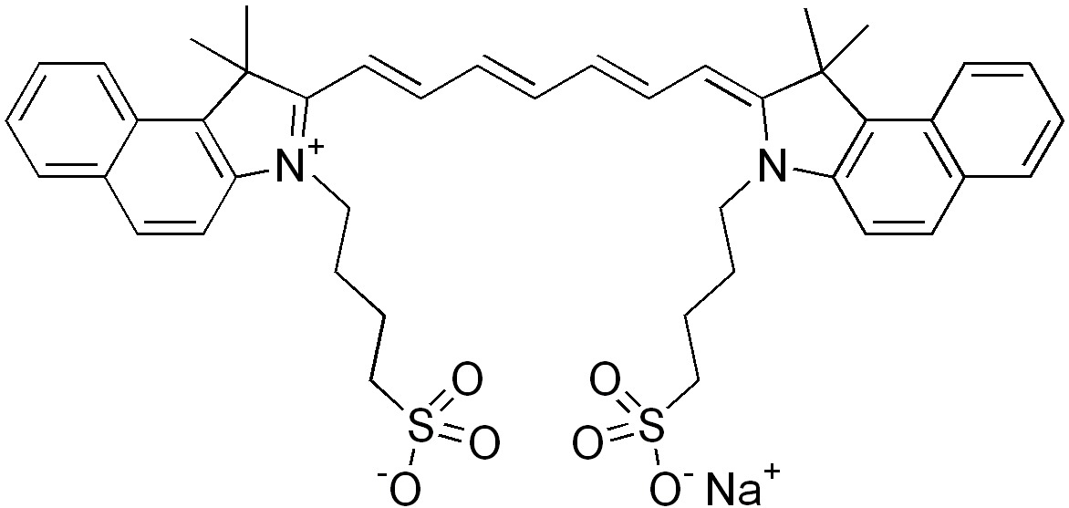
   Structure chimique  

Noms commerciaux   Noms commerciaux     

Les noms commerciaux sont donnés à titre indicatif et la composition en excipients peut être différente selon les pays et selon les laboratoires

Infracyanine France
Verdye Allemagne, Belgique, Espagne, Hongrie, Irlande, Italie, Roumanie, Suède
Stabilité des solutions   injectable   Stabilité des solutions : Indocyanine green     
Contenant Solvant Concentration Température Conservation Durée de stabilité Bibliographie
Verre Eau pour préparation injectable 0,025 mg/ml 4°C A l’abri de la lumière
24 Heure
4289
Niveau de preuve D

Seringue polypropylène Eau pour préparation injectable 2,5 mg/ml -20°C Non précisée
28 Jour
4246
Niveau de preuve C

Seringue polypropylène Eau pour préparation injectable 2,5 mg/ml 25°C Non précisée
30 Heure
4246
Niveau de preuve C

Seringue polypropylène Eau pour préparation injectable 2,5 mg/ml 4°C Non précisée
32 Heure
4246
Niveau de preuve C


  Mentions Légales