Pēdējā atjaunošana :
27/11/2025
Dažādi   Indocyanine green  
Injekcija
Šķīduma stabilitāte Maisījuma stabilitāte Stabilitāti ietekmējoši faktori Saderība Levadīšanas veids Literatūras saraksts pdf
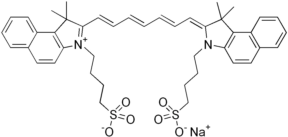
   Ķīmiskā uzbūve   

Oriģinālais nosaukums   Oriģinālais nosaukums     

Tirdzniecības nosaukumi ir apzīmējoši un palīgvielas var atšķirties dažādām valstīm un laboratorijām

Infracyanine Francija
Verdye Beļģija, Īrija, Itālija, Rumānija, Spānija, Ungārija, Vācija, Zviedrija
Šķīduma stabilitāte   Injekcija   Šķīduma stabilitāte : Indocyanine green     
Iepakojums Šķīdinātājs Koncentrācija Temperatūra Glabāšana Stabilitātes ilgums Literatūras saraksts
Stikls Ūdens injekcijām 0,025 mg/ml 4°C Aizsargāt no gaismas
24 Stunda
4289
Pierādījumu līmenis D

Šļirce polipropilēna Ūdens injekcijām 2,5 mg/ml -20°C Nav specifisks
28 Diena
4246
Pierādījumu līmenis C

Šļirce polipropilēna Ūdens injekcijām 2,5 mg/ml 25°C Nav specifisks
30 Stunda
4246
Pierādījumu līmenis C

Šļirce polipropilēna Ūdens injekcijām 2,5 mg/ml 4°C Nav specifisks
32 Stunda
4246
Pierādījumu līmenis C


  Mentions Légales