Posledná aktualizácia :
18/03/2026
antibiotikum   Azithromycine  
Dermálny prípravok
Injekcia
Stabilita farmaceutických prípravkov Stabilita v zmesiach Faktory ovplyvňujúce stabilitu Kompatibility Odkazy na literatúru PDF
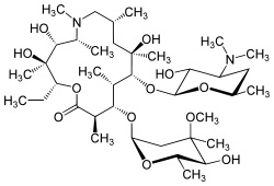
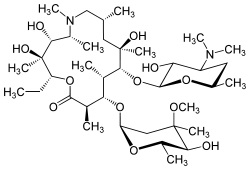
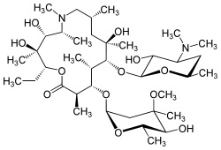
   Chemický vzorec  

Dermálny prípravok
Odkazy na literatúru   Dermálny prípravok   Odkazy na literatúru : Azithromycine  
Typ Publikácia
2894 Časopis McHugh RC, Sangha ND, Mc Carty MA et al.
A topical azythromycin preparation for the treatment of acne vulgaris and rosacea.
J Dermatolog Treat 2004 ; 15: 295-302.

  Mentions Légales