Utolsó frissítés :
18/03/2026
Antibiotikum   Azithromycine  
kenőcs
Injekció
Stabilitása gyógyszerészeti készítmények A keverékek stabilitása Stabilitást befolyásoló tényezők Kompatibilitás Irodalom pdf
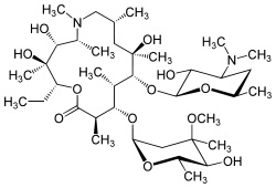
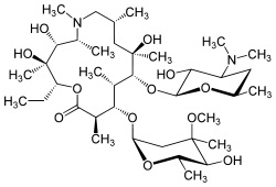
   Kémiai szerkezet   

kenőcs
Irodalom   kenőcs   Irodalom : Azithromycine  
Type publikáció
2894 Napló McHugh RC, Sangha ND, Mc Carty MA et al.
A topical azythromycin preparation for the treatment of acne vulgaris and rosacea.
J Dermatolog Treat 2004 ; 15: 295-302.

  Mentions Légales