Ostatnia aktualizacja :
18/03/2026
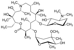
Antybiotyk   Azithromycine  
Maści
Injekcje
Stabilność preparatów farmaceutycznych Trwałość w mieszaninie Czynnik wpływający na trwałość Zgodność Bibliografia pdf
   Struktura chemiczna  

Maści
Bibliografia   Maści   Bibliografia : Azithromycine  
typ publikacja
2894 Czasopismo McHugh RC, Sangha ND, Mc Carty MA et al.
A topical azythromycin preparation for the treatment of acne vulgaris and rosacea.
J Dermatolog Treat 2004 ; 15: 295-302.

  Mentions Légales