最新更新 :
18/03/2026
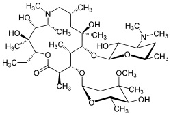
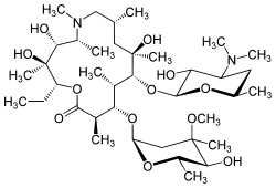
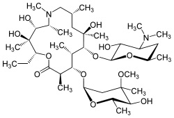
抗生素   Azithromycine  
药膏
注射液
制剂的稳定性 混合物稳定性 影响稳定性的因素 兼容性 引用文献 PDF
   化学式  

药膏
引用文献   药膏   引用文献 : Azithromycine  
种类 出版物
2894 文献 McHugh RC, Sangha ND, Mc Carty MA et al.
A topical azythromycin preparation for the treatment of acne vulgaris and rosacea.
J Dermatolog Treat 2004 ; 15: 295-302.

  Mentions Légales