آخر تحديث :
18/03/2026
مضاد حيوي   Azithromycine  
المراهم
حقن
استقرار المستحضرات الصيدلانية استقرار مخاليط العوامل التي تؤثر على الاستقرار التوافق مراجع pdf
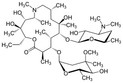
   التركيب الكيميائي  

المراهم
مراجع   المراهم   مراجع : Azithromycine  
نوع منشور
2894 مجلة McHugh RC, Sangha ND, Mc Carty MA et al.
A topical azythromycin preparation for the treatment of acne vulgaris and rosacea.
J Dermatolog Treat 2004 ; 15: 295-302.

  Mentions Légales