Poslední aktualizace :
18/03/2026
Infostab
Junginių sąrašas
Sąrašai
Ieškoti suderinamumo
Y formos suderinamumo lentelė
Bibliografija
Mokslinių tyrimų Komandos
valistab
plakatas
Jungtys
rėmėjai
Autorius
Naudojimo instrukcija
Biuletenį
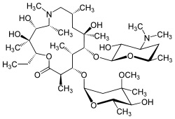
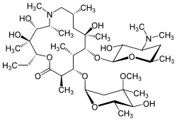
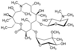
Azithromycine
Cheminė sandara
Bibliografija : Azithromycine
tipas
leidinys
2894
Žurnalas
McHugh RC, Sangha ND, Mc Carty MA et al.
A topical azythromycin preparation for the treatment of acne vulgaris and rosacea.
J Dermatolog Treat 2004 ; 15: 295-302.
Mentions Légales