Ultimo aggiornamento :
18/03/2026
Antibiotico   Azithromycine  
Unguenti
Iniezione
Stabilità dei preparati farmaceutici Stabilità in miscela Fattori che influenzano la stabilità Compatibilità Bibliografia pdf
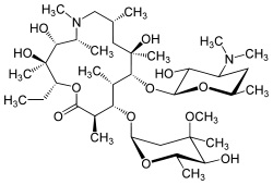
   Struttura chimica  

Unguenti
Bibliografia   Unguenti   Bibliografia : Azithromycine  
tipo pubblicazione
2894 Rivista McHugh RC, Sangha ND, Mc Carty MA et al.
A topical azythromycin preparation for the treatment of acne vulgaris and rosacea.
J Dermatolog Treat 2004 ; 15: 295-302.

  Mentions Légales