Τελευταία ενημέρωση :
18/03/2026
Αντιβιοτικό   Azithromycine  
Αλοιφές
Ενέσιμο
Σταθερότητα και συμβατότητα των φαρμάκων Σταθερότητα σε μίγματα Παράγοντας που επηρεάζει τη σταθερότητα Συμβατότητες Βιβλιογραφία pdf
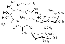
   χημική δομή  

Αλοιφές
Βιβλιογραφία   Αλοιφές   Βιβλιογραφία : Azithromycine  
τύπος δημοσίευση
2894 εφημερίδα McHugh RC, Sangha ND, Mc Carty MA et al.
A topical azythromycin preparation for the treatment of acne vulgaris and rosacea.
J Dermatolog Treat 2004 ; 15: 295-302.

  Mentions Légales