zadnja posodobitev :
18/03/2026
Zdravilo proti parazitom   Artesunate  
Svečka
Brizgalka
Stabilnost farmacevtskih preparatov Stabilnost mešanice Faktorji, ki vplivajo na stabilnost Kompatibilnost Viri pdf
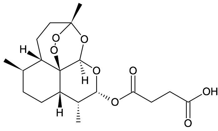
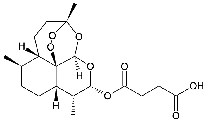
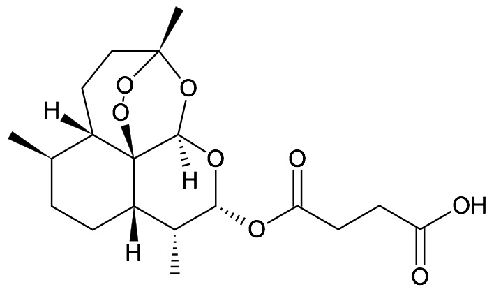
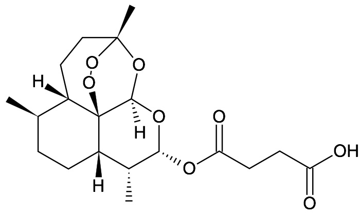
   Kemična formula  

Svečka
Stabilnost farmacevtskih preparatov   Svečka   Stabilnost farmacevtskih preparatov : Artesunate     
Vsebnik Origine Ekscipient Temperatura Shranjevanje Trajanje stabilnosti Viri
Steklo Prašek 5 g
Artesunate
Carbopol® 974P 0.8 g
Etanol 10 g
NaOH 5M 1.64 g
Prečiščena voda 86.36 g
22°C Nedoločeno
3 Dan
2655


  Mentions Légales