Poslední aktualizace :
18/03/2026
Priešparazitinis vaistas   Artesunate  
Žvakutė
Įpurškimas
Stabilumas farmacinių preparatų Mišinių stabilumas Stabilumą lemiantys veiksniai Suderinamumas Bibliografija pdf
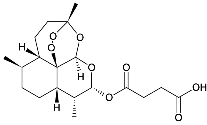
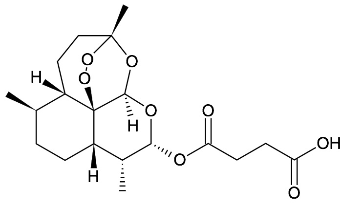
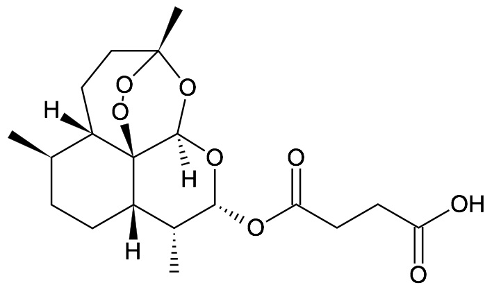
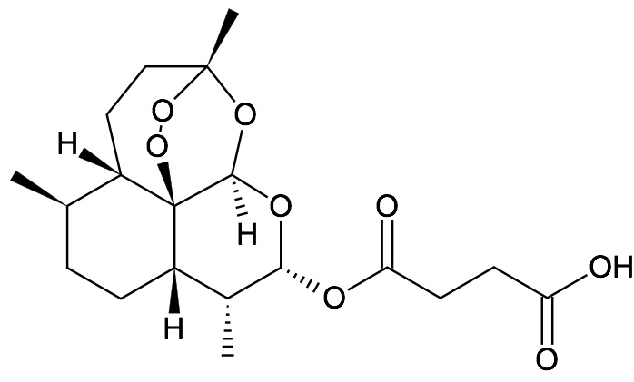
   Cheminė sandara  

Žvakutė
Stabilumas farmacinių preparatų   Žvakutė   Stabilumas farmacinių preparatų : Artesunate     
Pakuotė Origine Ekscipientas Temperatūra Laikymas Stabilumo trukmė Nuorodos
Stiklas Milteliai 5 g
Artesunate
Carbopol® 974P 0.8 g
Etanolis 10 g
NaOH 5M 1.64 g
Išvalytas vanduo 86.36 g
22°C Nenurodyta
3 Diena
2655


  Mentions Légales