Poslední aktualizace :
03/02/2026
Antiparazitikum   Artesunate  
čípky
injekce
Stabilita farmaceutických přípravků Stabilita směsí Faktory ovlivňující stabilitu Kompatibilita Odkazy pdf
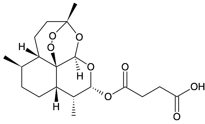
   Chemický vzorec  

čípky
Stabilita farmaceutických přípravků   čípky   Stabilita farmaceutických přípravků : Artesunate     
Obal Origine Pomocné látky Teplota Uchovávání Trvání stability Odkazy
Sklo prášek 5 g
Artesunate
Carbopol® 974P 0.8 g
etanol 10 g
NaOH 5M 1.64 g
Čištěná voda 86.36 g
22°C Nespecifikováno
3 Den
2655


  Mentions Légales