Ultimele actualizari :
03/02/2026
Antiparazitar   Artesunate  
Supozitoare
Injectabil
Stabilitatea preparatelor farmaceutice Stabilitatea in amestec Factorii care influenteaza stabilitatea Compatibilitate Bibliografie pdf
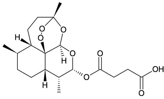
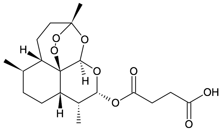
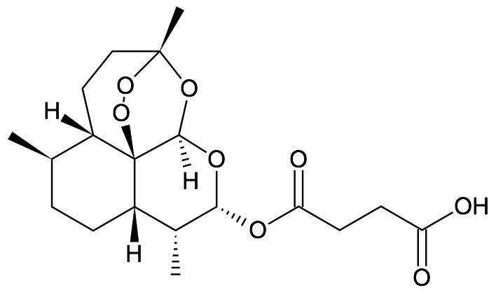
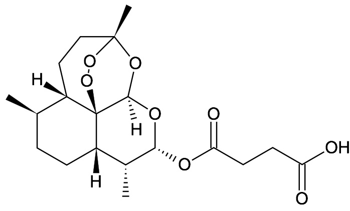
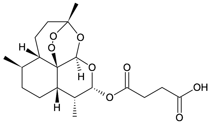
   Formula chimica  

Supozitoare
Stabilitatea preparatelor farmaceutice   Supozitoare   Stabilitatea preparatelor farmaceutice : Artesunate     
Continut Origine Excipient Temperatura Conservare Durata stabilității Bibiografie
sticla praf 5 g
Artesunate
Carbopol® 974P 0.8 g
Etanol 10 g
NaOH 5M 1.64 g
Apă purificată 86.36 g
22°C Neprecizat
3 Ziua
2655


  Mentions Légales