Siste oppdatering :
18/03/2026
Antiparasittmiddel   Artesunate  
Stikkpille
Injeksjon
Stabilitet av farmasøytiske preparater Stabilitet i blandinger Faktorer som påvirker stabiliteten Kompatibilitet Referanser pdf
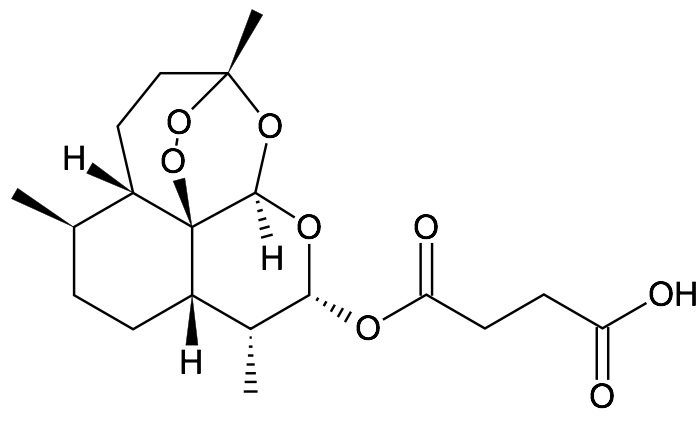
   Kjemisk struktur  

Stikkpille
Stabilitet av farmasøytiske preparater   Stikkpille   Stabilitet av farmasøytiske preparater : Artesunate     
Beholder Origine Hjelpestoff Temperatur Oppbevaring Varighet av stabilitet Referanser
Glass Pulver 5 g
Artesunate
Carbopol® 974P 0.8 g
Etanol 10 g
NaOH 5M 1.64 g
Renset vann 86.36 g
22°C Ikke angitt
3 Dag
2655


  Mentions Légales