Τελευταία ενημέρωση :
16/12/2025
Αντιπαρασιτικό   Artesunate  
Υπόθετο
Ενέσιμο
Σταθερότητα και συμβατότητα των φαρμάκων Σταθερότητα σε μίγματα Παράγοντας που επηρεάζει τη σταθερότητα Συμβατότητες Βιβλιογραφία pdf
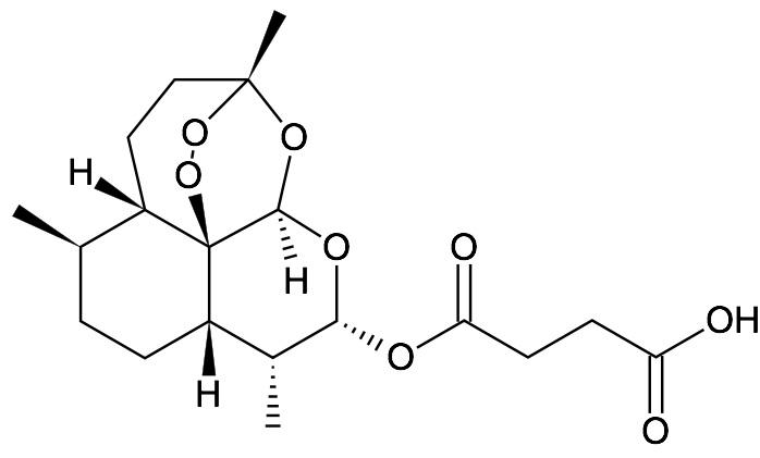
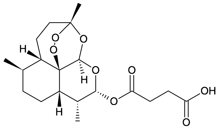
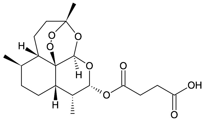
   χημική δομή  

Υπόθετο
Σταθερότητα και συμβατότητα των φαρμάκων   Υπόθετο   Σταθερότητα και συμβατότητα των φαρμάκων : Artesunate     
Υποδοχέας Origine Έκδοχο Θερμοκρασία Αποθήκευση Διάρκεια σταθερότητας Βιβλιογραφία
Ύαλος Σκόνη 5 g
Artesunate
Carbopol® 974P 0.8 g
Αιθανόλη 10 g
NaOH 5M 1.64 g
Κεκαθαρμένο νερό 86.36 g
22°C Απροσδιόριστο
3 Ημέρα
2655


  Mentions Légales