Laatste update :
17/12/2025
Antiparasiticum   Artesunate  
zetpil
injecteerbaar geneesmiddel
Stabiliteit van farmaceutische preparaten Stabiliteit in mengsels Factoren die de stabiliteit beïnvloeden Verenigbaarheden Literatuur pdf
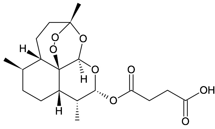
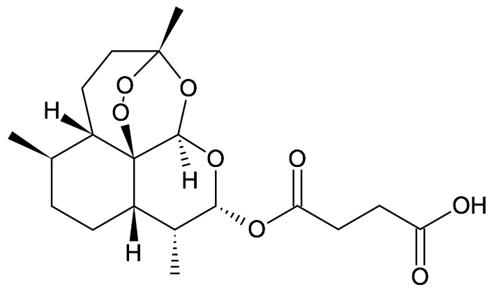
   Molecuulstructuur  

zetpil
Stabiliteit van farmaceutische preparaten   zetpil   Stabiliteit van farmaceutische preparaten : Artesunate     
Verpakking Origine  ikˈsipēənt hulpstof Temperatuur Bewaring Duur van de stabiliteit Literatuur
Glas poeder 5 g
Artesunate
Carbopol® 974P 0.8 g
Ethanol 10 g
NaOH 5M 1.64 g
gezuiverd water 86.36 g
22°C Niet gespecificeerd
3 Dag
2655


  Mentions Légales