Cập nhật lần cuối :
18/03/2026
Thuốc điều trị kí sinh trùng   Artesunate  
Thuốc đạn
Dạng tiêm
Tính ổn định của các chế phẩm Độ ổn định khi trộn lẫn Những yếu tố ảnh hưởng đến độ ổn định Khả năng tương thích Tài liệu tham khảo Pdf
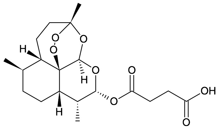
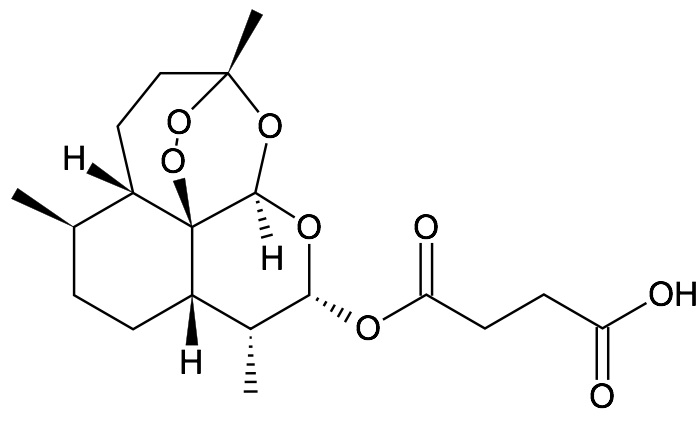
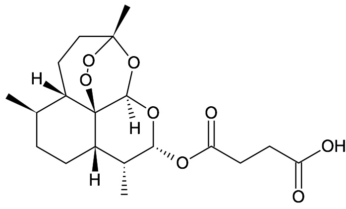
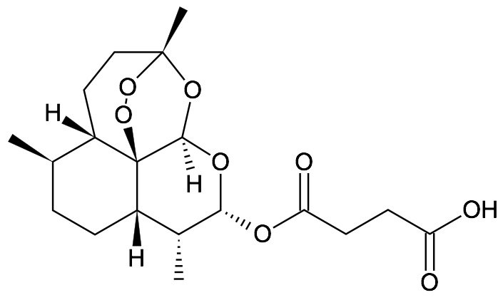
   Cấu trúc hóa học  

Thuốc đạn
Tài liệu tham khảo   Thuốc đạn   Tài liệu tham khảo : Artesunate  
Loại Nguồn
2655 Tạp chí Gaudin K, Barbaud A, Boyer C, Langlois MH, Lagueny AML, Dubost JP, Millet P, Fawaz F.
Invitro release and stability of an artesunate rectal gel suitable for pediatric use.
Int J Pharm 2008 ; 353, 1-2: 1-7.

  Mentions Légales