Last update :
18/03/2026
Antiparasitic   Artesunate  
suppository
injection
Stability of pharmaceutical preparations Stability of mixtures Factors which affect stability Compatibility References pdf
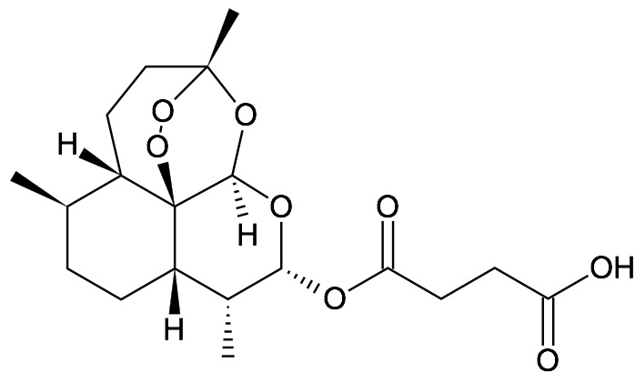
   Chemical structure  

suppository
References   suppository   References : Artesunate  
Type Publication
2655 Journal Gaudin K, Barbaud A, Boyer C, Langlois MH, Lagueny AML, Dubost JP, Millet P, Fawaz F.
Invitro release and stability of an artesunate rectal gel suitable for pediatric use.
Int J Pharm 2008 ; 353, 1-2: 1-7.

  Mentions Légales