Τελευταία ενημέρωση :
18/03/2026
Αντιπαρασιτικό   Artesunate  
Υπόθετο
Ενέσιμο
Σταθερότητα και συμβατότητα των φαρμάκων Σταθερότητα σε μίγματα Παράγοντας που επηρεάζει τη σταθερότητα Συμβατότητες Βιβλιογραφία pdf
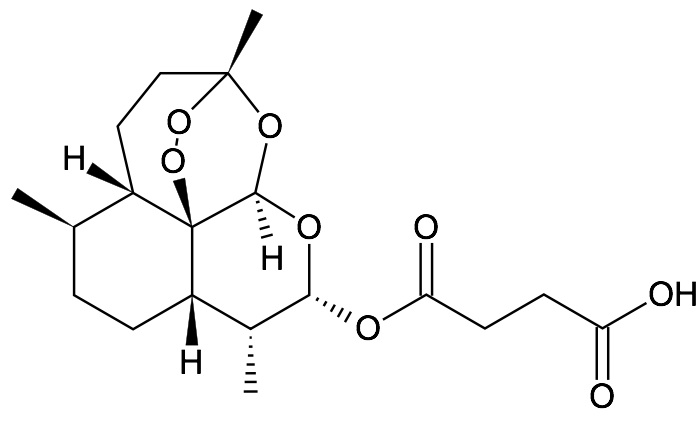
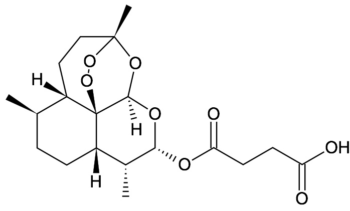
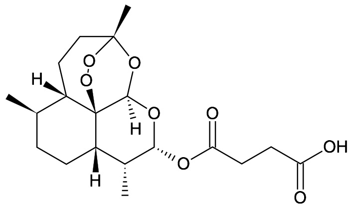
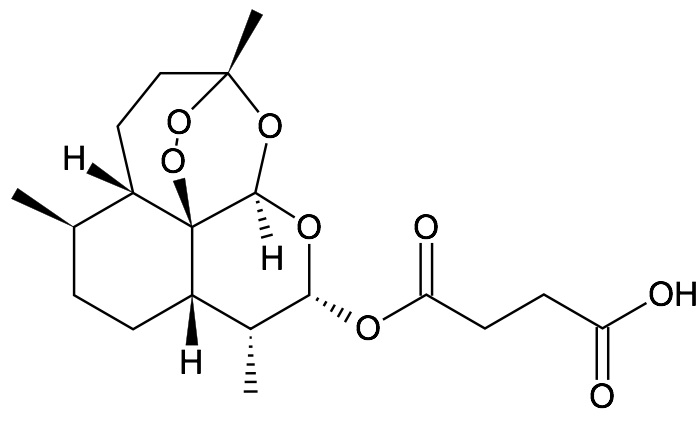
   χημική δομή  

Υπόθετο
Βιβλιογραφία   Υπόθετο   Βιβλιογραφία : Artesunate  
τύπος δημοσίευση
2655 εφημερίδα Gaudin K, Barbaud A, Boyer C, Langlois MH, Lagueny AML, Dubost JP, Millet P, Fawaz F.
Invitro release and stability of an artesunate rectal gel suitable for pediatric use.
Int J Pharm 2008 ; 353, 1-2: 1-7.

  Mentions Légales