Ultimele actualizari :
18/03/2026
Antiparazitar   Artesunate  
Supozitoare
Injectabil
Stabilitatea preparatelor farmaceutice Stabilitatea in amestec Factorii care influenteaza stabilitatea Compatibilitate Bibliografie pdf
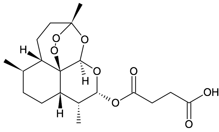
   Formula chimica  

Supozitoare
Bibliografie   Supozitoare   Bibliografie : Artesunate  
tip publicare
2655 ziar Gaudin K, Barbaud A, Boyer C, Langlois MH, Lagueny AML, Dubost JP, Millet P, Fawaz F.
Invitro release and stability of an artesunate rectal gel suitable for pediatric use.
Int J Pharm 2008 ; 353, 1-2: 1-7.

  Mentions Légales