Ostatnia aktualizacja :
18/03/2026
Lek przeciwpasożytniczy   Artesunate  
Czopek
Injekcje
Stabilność preparatów farmaceutycznych Trwałość w mieszaninie Czynnik wpływający na trwałość Zgodność Bibliografia pdf
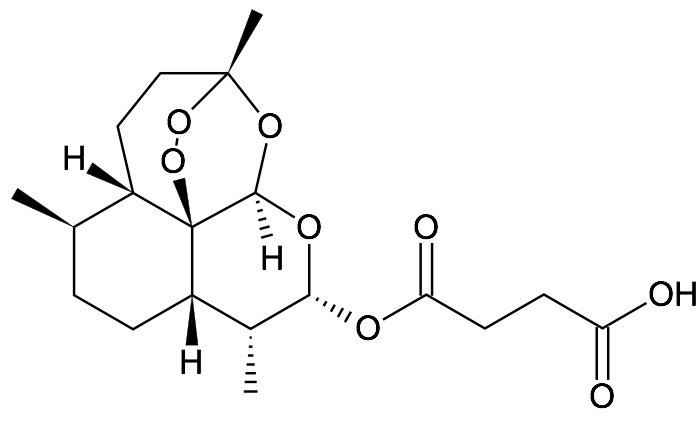
   Struktura chemiczna  

Czopek
Bibliografia   Czopek   Bibliografia : Artesunate  
typ publikacja
2655 Czasopismo Gaudin K, Barbaud A, Boyer C, Langlois MH, Lagueny AML, Dubost JP, Millet P, Fawaz F.
Invitro release and stability of an artesunate rectal gel suitable for pediatric use.
Int J Pharm 2008 ; 353, 1-2: 1-7.

  Mentions Légales