Pēdējā atjaunošana :
18/03/2026
Pretparazītu līdzeklis   Artesunate  
Supozitorijs
Injekcija
Stabilitāte farmaceitisko preparātu Maisījuma stabilitāte Stabilitāti ietekmējoši faktori Saderība Literatūras saraksts pdf
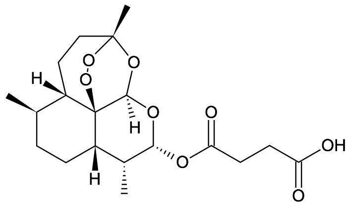
   Ķīmiskā uzbūve   

Supozitorijs
Literatūras saraksts   Supozitorijs   Literatūras saraksts : Artesunate  
tips publicēšana
2655 Žurnāls Gaudin K, Barbaud A, Boyer C, Langlois MH, Lagueny AML, Dubost JP, Millet P, Fawaz F.
Invitro release and stability of an artesunate rectal gel suitable for pediatric use.
Int J Pharm 2008 ; 353, 1-2: 1-7.

  Mentions Légales