Laatste update :
18/03/2026
Antiparasiticum   Artesunate  
zetpil
injecteerbaar geneesmiddel
Stabiliteit van farmaceutische preparaten Stabiliteit in mengsels Factoren die de stabiliteit beïnvloeden Verenigbaarheden Literatuur pdf
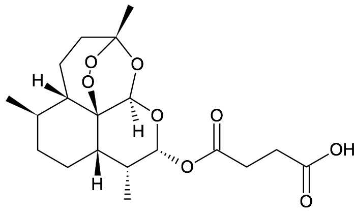
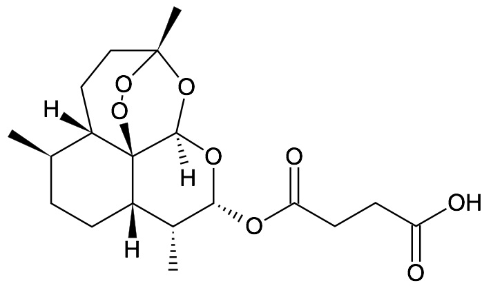
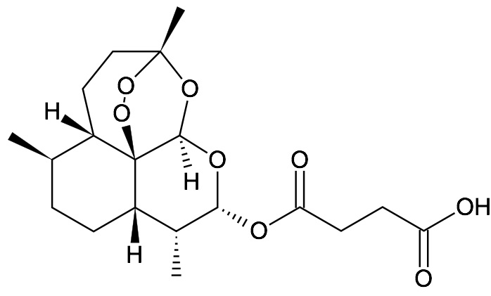
   Molecuulstructuur  

zetpil
Literatuur   zetpil   Literatuur : Artesunate  
type publicatie
2655 Artikel Gaudin K, Barbaud A, Boyer C, Langlois MH, Lagueny AML, Dubost JP, Millet P, Fawaz F.
Invitro release and stability of an artesunate rectal gel suitable for pediatric use.
Int J Pharm 2008 ; 353, 1-2: 1-7.

  Mentions Légales