Última actualização :
18/03/2026
droga contra o câncer   Paclitaxel  
injetável
Estabilidade em soluções simples Estabilidade em misturas Factores que afectam a sua estabilidade Compatibilidade Método de administração Bibliografía pdf
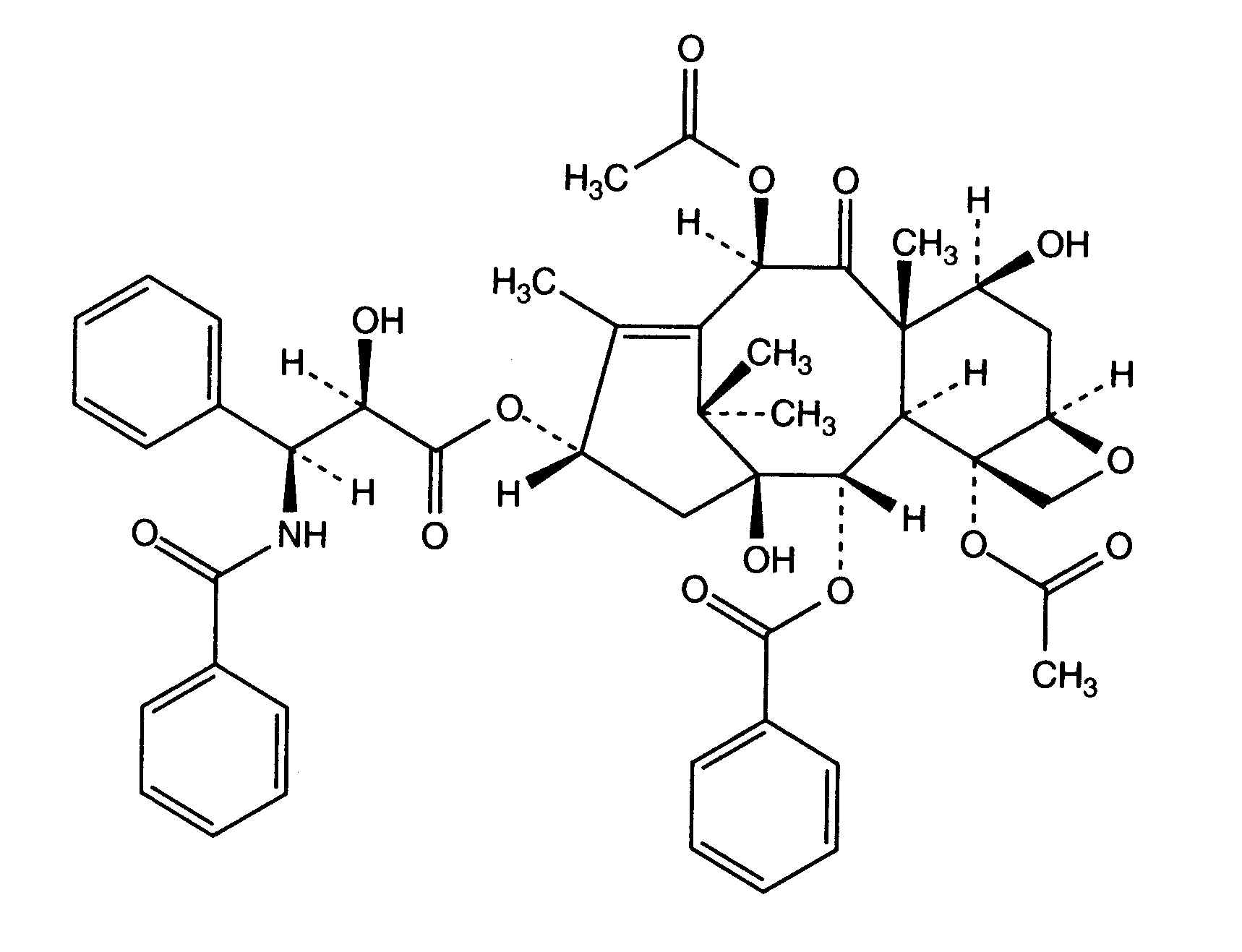
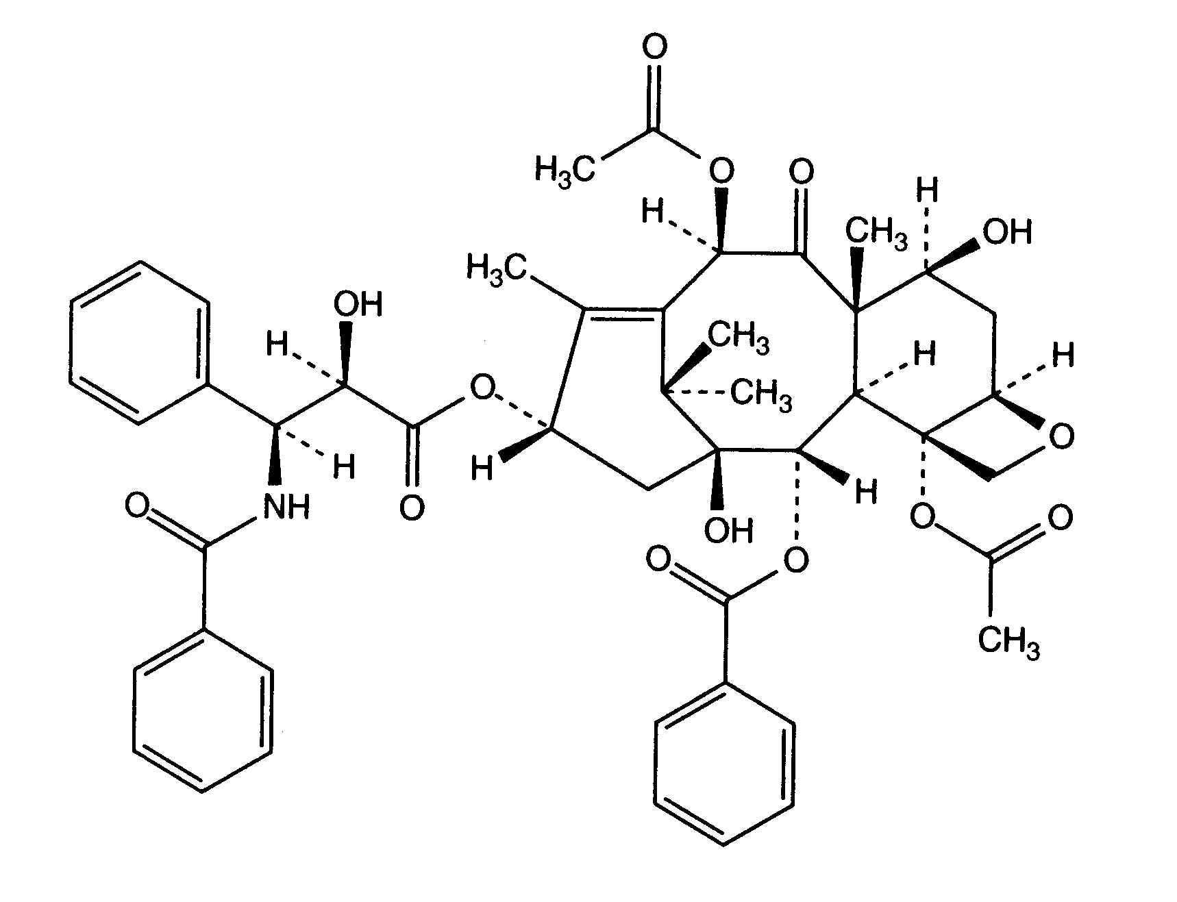
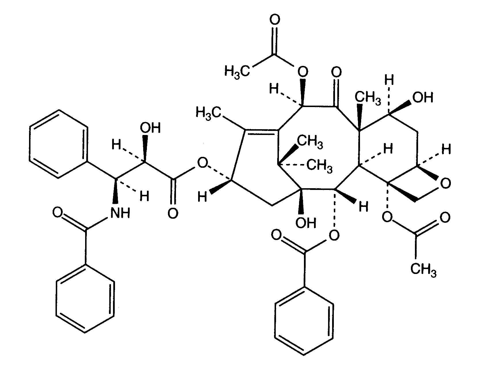
   estrutura química  

Nomes comerciais nos diversos países   Nomes comerciais nos diversos países     

OS NOMES COMERCIAIS SÃO INDICATIVOS E OS EXCIPIENTES DA FORMULAÇÃO PODEM SER DIFERENTES CONFORME O PAÍS E FABRICANTE.

Aclipak Malásia
Acoexcel México
Acupaxil Marrocos
Anzatax Arábia Saudita, Egipto, Emirados Árabes Unidos, Irã, Malásia, Marrocos, nova Zelândia, Peru, Tunísia, Turquia
Aritaxel Alemanha
Cantaxel Índia
Clitaxel Argentina, Venezuela
Dalys Argentina
Ebetaxel Arábia Saudita, Austria, Irã, Marrocos, Tunísia, Turquia
Genexol Egipto, Índia, Irã
Onxol Estados Unidos de América
Paclinova Argentina
Paclitaxin Brasil, Eslovenia, Luxemburgo, Malásia
Parexel Brasil, Colômbia, Equator, Venezuela
Paxene Dinamarca, Espanha, Grècia, Irlanda, Países Baixos, Polonia
Poltaxel Polonia
Ribotax Alemanha
Taxol Austria, Brasil, Colômbia, Dinamarca, Egipto, Emirados Árabes Unidos, Eslovenia, Grècia, Irã, Itália, Japón, Malásia, Marrocos, nova Zelândia, Países Baixos, Peru, Polonia, Portugal, Suècia, Suicia, Turquia, Venezuela
Taxomedac Alemanha
Vitax Brasil, Peru, Turquia
Estabilidade em soluções simples   injetável   Estabilidade em soluções simples : Paclitaxel     
Embalagem Solvente concentração temperatura conservação Duração da estabilidade Bibliografia
vidro cloreto de sódio 0,9% 0.3 mg/ml 2-8°C ao abrigo da luz
13 dia
2172
Nível de evidência A+

vidro cloreto de sódio 0,9% 0.3 mg/ml 25°C ao abrigo da luz
3 dia
2172
Nível de evidência A+

vidro cloreto de sódio 0,9% 1,2 mg/ml 30°C ao abrigo da luz
4 dia
173
Nível de evidência A

vidro cloreto de sódio 0,9% 1.2 mg/ml 2-8°C ao abrigo da luz
8 dia
2172
Nível de evidência A+

vidro cloreto de sódio 0,9% 1.2 mg/ml 25°C ao abrigo da luz
5 dia
2172
Nível de evidência A+

vidro Glucose 5% 0,4 & 1,2 mg/ml 20°C-25°C luz
5 dia
1865
Nível de evidência B

vidro Glucose 5% 0.3 mg/ml 2-8°C ao abrigo da luz
20 dia
2172
Nível de evidência A+

vidro Glucose 5% 0.3 & 1.2 mg/ml 25°C ao abrigo da luz
7 dia
2172
Nível de evidência A+

vidro Glucose 5% 1,2 mg/ml 30°C ao abrigo da luz
4 dia
173
Nível de evidência A

vidro Glucose 5% 1.2 mg/ml 2-8°C ao abrigo da luz
8 dia
2172
Nível de evidência A+

Polietileno cloreto de sódio 0,9% 0.3 mg/ml 2-8°C ao abrigo da luz
13 dia
2172
Nível de evidência A+

Polietileno cloreto de sódio 0,9% 0.3 & 1.2 mg/ml 25°C ao abrigo da luz
3 dia
2172
Nível de evidência A+

Polietileno cloreto de sódio 0,9% 1.2 mg/ml 2-8°C ao abrigo da luz
9 dia
2172
Nível de evidência A+

Polietileno Glucose 5% 0,4 & 1,2 mg/ml 20°C-25°C Com ou sem luz
5 dia
1865
Nível de evidência B

Polietileno Glucose 5% 0,4 & 1,2 mg/ml 25°C Com ou sem luz
5 dia
1520
Dados estabilidade do fabricante

Polietileno Glucose 5% 0,4 & 1,2 mg/ml 4°C no especificado
5 dia
1520
Dados estabilidade do fabricante

Polietileno Glucose 5% 0,4 & 1,2 mg/ml 4°C ao abrigo da luz
5 dia
1865
Nível de evidência B

Polietileno Glucose 5% 0.3 mg/ml 2-8°C ao abrigo da luz
13 dia
2172
Nível de evidência A+

Polietileno Glucose 5% 0.3 & 1.2 mg/ml 25°C ao abrigo da luz
3 dia
2172
Nível de evidência A+

Polietileno Glucose 5% 1.2 mg/ml 2-8°C ao abrigo da luz
10 dia
2172
Nível de evidência A+

Poliolefina cloreto de sódio 0,9% 0,1 & 1 mg/ml 22°C no especificado
3 dia
157
Nível de evidência A+

Poliolefina cloreto de sódio 0,9% 0,1 & 1 mg/ml 32°C no especificado
3 dia
157
Nível de evidência A+

Poliolefina cloreto de sódio 0,9% 0,1 & 1 mg/ml 4°C ao abrigo da luz
3 dia
157
Nível de evidência A+

Poliolefina cloreto de sódio 0,9% 0,3 mg/ml 5°C ao abrigo da luz
28 dia
2174
Nível de evidência A+

Poliolefina cloreto de sódio 0,9% 0,3 & 0,75 mg/ml 25°C ao abrigo da luz
6 dia
2174
Nível de evidência A+

Poliolefina cloreto de sódio 0,9% 0,3 & 1,2 mg/ml 20°C-23°C luz
48 hora
669
Nível de evidência A

Poliolefina cloreto de sódio 0,9% 0,3 & 1,2 mg/ml 25°C ao abrigo da luz
72 hora
1522
Dados estabilidade do fabricante

Poliolefina cloreto de sódio 0,9% 0,3 &1,2 mg/ml 4°C ao abrigo da luz
72 hora
2014
Nível de evidência C

Poliolefina cloreto de sódio 0,9% 0,3 >>1,2 mg/ml 30°C ao abrigo da luz
4 dia
173
Nível de evidência A

Poliolefina cloreto de sódio 0,9% 0,6 mg/ml 20°C-23°C no especificado
25 hora
412
Nível de evidência A

Poliolefina cloreto de sódio 0,9% 0,75 mg/ml 5°C ao abrigo da luz
16 dia
2174
Nível de evidência A+

Poliolefina cloreto de sódio 0,9% 0.3 > 1.2 mg/ml 25°C luz
72 hora
1956
Dados estabilidade do fabricante

Poliolefina cloreto de sódio 0,9% 0.3 > 1.2 mg/ml 5°C ao abrigo da luz
28 dia
1956
Dados estabilidade do fabricante

Poliolefina cloreto de sódio 0,9% 1,2 mg/ml 20°C-23°C no especificado
25 hora
412
Nível de evidência A

Poliolefina cloreto de sódio 0,9% 1,2 mg/ml 25°C ao abrigo da luz
4 dia
2174
Nível de evidência A+

Poliolefina cloreto de sódio 0,9% 1,2 mg/ml 5°C ao abrigo da luz
12 dia
2174
Nível de evidência A+

Poliolefina Glucose 5% 0,1 & 1 mg/ml 22°C no especificado
3 dia
157
Nível de evidência A+

Poliolefina Glucose 5% 0,1 & 1 mg/ml 32°C no especificado
3 dia
157
Nível de evidência A+

Poliolefina Glucose 5% 0,1 & 1 mg/ml 4°C ao abrigo da luz
3 dia
157
Nível de evidência A+

Poliolefina Glucose 5% 0,3 mg/ml 25°C ao abrigo da luz
8 dia
2174
Nível de evidência A+

Poliolefina Glucose 5% 0,3 mg/ml 5°C ao abrigo da luz
28 dia
2174
Nível de evidência A+

Poliolefina Glucose 5% 0,3 & 1,2 mg/ml 20°C-23°C luz
48 hora
669
Nível de evidência A

Poliolefina Glucose 5% 0,3 & 1,2 mg/ml 25°C ao abrigo da luz
72 hora
1522
Dados estabilidade do fabricante

Poliolefina Glucose 5% 0,3 &1,2 mg/ml 4°C ao abrigo da luz
72 hora
2014
Nível de evidência C

Poliolefina Glucose 5% 0,3 >>1,2 mg/ml 30°C ao abrigo da luz
4 dia
173
Nível de evidência A

Poliolefina Glucose 5% 0,6 mg/ml 20°C-23°C no especificado
25 hora
412
Nível de evidência A

Poliolefina Glucose 5% 0,75 mg/ml 25°C ao abrigo da luz
4 dia
2174
Nível de evidência A+

Poliolefina Glucose 5% 0,75 mg/ml 5°C ao abrigo da luz
16 dia
2174
Nível de evidência A+

Poliolefina Glucose 5% 0.3 > 1.2 mg/ml 25°C luz
72 hora
1956
Dados estabilidade do fabricante

Poliolefina Glucose 5% 0.3 > 1.2 mg/ml 5°C ao abrigo da luz
14 dia
1956
Dados estabilidade do fabricante

Poliolefina Glucose 5% 1,2 mg/ml 20°C-23°C no especificado
12 hora
412
Nível de evidência A

Poliolefina Glucose 5% 1,2 mg/ml 25°C ao abrigo da luz
4 dia
2174
Nível de evidência A+

Poliolefina Glucose 5% 1,2 mg/ml 5°C ao abrigo da luz
12 dia
2174
Nível de evidência A+


  Mentions Légales