最新更新 :
18/03/2026
細胞増殖抑制薬   Paclitaxel  
注射薬
溶媒内の安定性 混合時の安定性 安定性に影響する因子 互換性 投与経路 引用文献 PDF
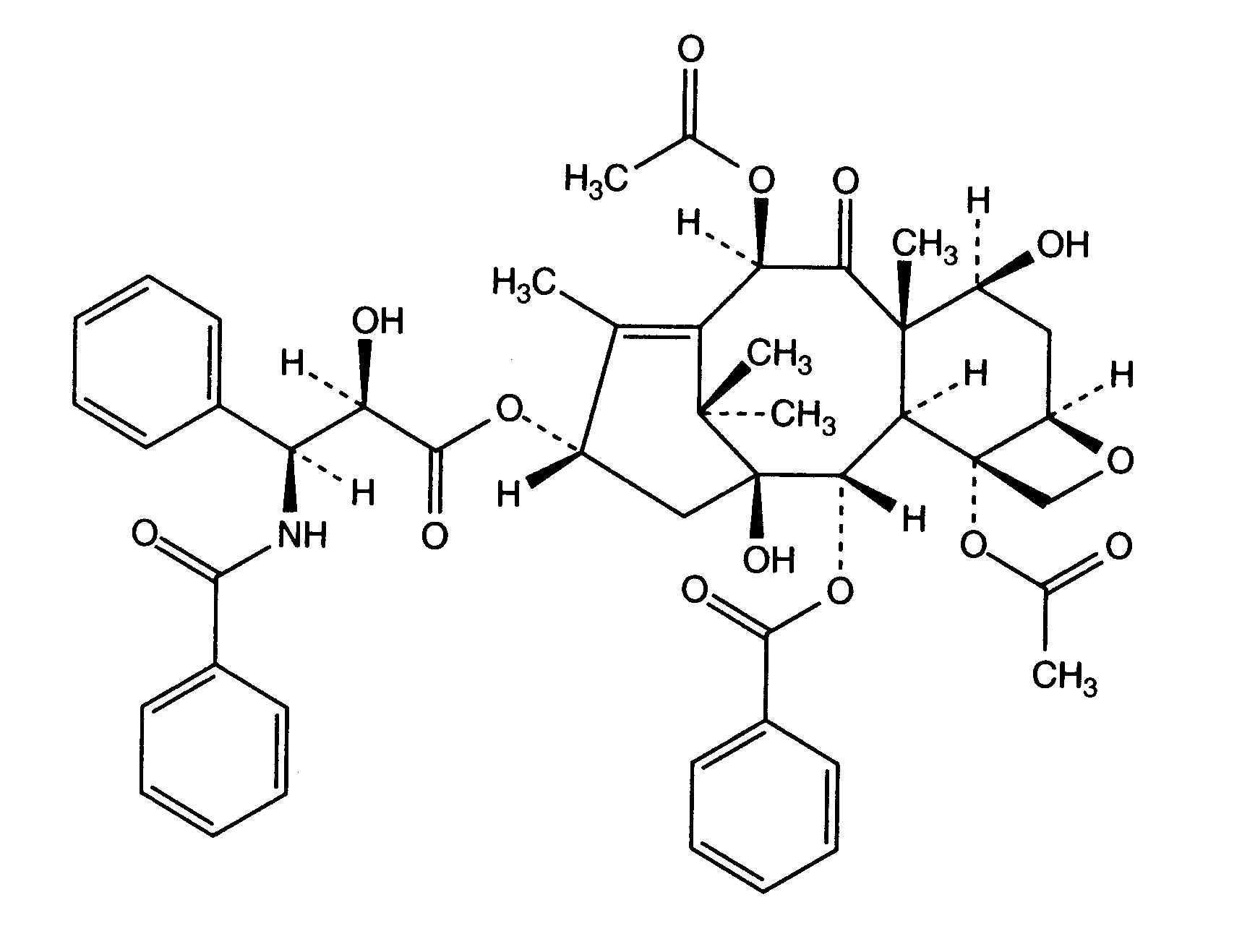
   化学構造  

商品名   商品名     

商品名、賦形剤は国、製薬会社ごとに異なることがあります

Aclipak マレーシア
Acoexcel メキシコ
Acupaxil モロッコ
Anzatax アラブ首長国連邦, イラン, エジプト, サウジアラビア, チュニジア, トルコ, ニュージーランド, ペルー, マレーシア, モロッコ
Aritaxel ドイツ
Cantaxel インド
Clitaxel アルゼンチン, ベネズエラ
Dalys アルゼンチン
Ebetaxel イラン, オーストリア, サウジアラビア, チュニジア, トルコ, モロッコ
Genexol イラン, インド, エジプト
Onxol アメリカ
Paclinova アルゼンチン
Paclitaxin スロベニア, ブラジル, マレーシア, ルクセンブルグ
Parexel エクアドル, コロンビア, ブラジル, ベネズエラ
Paxene アイルランド, オランダ, ギリシア, スペイン, デンマーク, ポーランド
Poltaxel ポーランド
Ribotax ドイツ
Taxol アラブ首長国連邦, イタリア, イラン, エジプト, オランダ, オーストリア, ギリシア, コロンビア, スイス, スウェーデン, スロベニア, デンマーク, トルコ, ニュージーランド, ブラジル, ベネズエラ, ペルー, ポルトガル, ポーランド, マレーシア, モロッコ, 日本
Taxomedac ドイツ
Vitax トルコ, ブラジル, ペルー
溶媒内の安定性   注射薬   溶媒内の安定性 : Paclitaxel     
容器 溶媒 濃度 温度 保管 安定期間 引用文献
ガラス NaCl 0,9% 0.3 mg/ml 2-8°C 遮光
13 日
2172
エビデンスレベル A+

ガラス NaCl 0,9% 0.3 mg/ml 25°C 遮光
3 日
2172
エビデンスレベル A+

ガラス NaCl 0,9% 1,2 mg/ml 30°C 遮光
4 日
173
エビデンスレベル A

ガラス NaCl 0,9% 1.2 mg/ml 2-8°C 遮光
8 日
2172
エビデンスレベル A+

ガラス NaCl 0,9% 1.2 mg/ml 25°C 遮光
5 日
2172
エビデンスレベル A+

ガラス グルコース5% 0,4 & 1,2 mg/ml 20°C-25°C 光
5 日
1865
エビデンスレベル B

ガラス グルコース5% 0.3 mg/ml 2-8°C 遮光
20 日
2172
エビデンスレベル A+

ガラス グルコース5% 0.3 & 1.2 mg/ml 25°C 遮光
7 日
2172
エビデンスレベル A+

ガラス グルコース5% 1,2 mg/ml 30°C 遮光
4 日
173
エビデンスレベル A

ガラス グルコース5% 1.2 mg/ml 2-8°C 遮光
8 日
2172
エビデンスレベル A+

ポリエチレン NaCl 0,9% 0.3 mg/ml 2-8°C 遮光
13 日
2172
エビデンスレベル A+

ポリエチレン NaCl 0,9% 0.3 & 1.2 mg/ml 25°C 遮光
3 日
2172
エビデンスレベル A+

ポリエチレン NaCl 0,9% 1.2 mg/ml 2-8°C 遮光
9 日
2172
エビデンスレベル A+

ポリエチレン グルコース5% 0,4 & 1,2 mg/ml 20°C-25°C 光/遮光
5 日
1865
エビデンスレベル B

ポリエチレン グルコース5% 0,4 & 1,2 mg/ml 25°C 光/遮光
5 日
1520
製薬会社の安定性データ

ポリエチレン グルコース5% 0,4 & 1,2 mg/ml 4°C 特記なし
5 日
1520
製薬会社の安定性データ

ポリエチレン グルコース5% 0,4 & 1,2 mg/ml 4°C 遮光
5 日
1865
エビデンスレベル B

ポリエチレン グルコース5% 0.3 mg/ml 2-8°C 遮光
13 日
2172
エビデンスレベル A+

ポリエチレン グルコース5% 0.3 & 1.2 mg/ml 25°C 遮光
3 日
2172
エビデンスレベル A+

ポリエチレン グルコース5% 1.2 mg/ml 2-8°C 遮光
10 日
2172
エビデンスレベル A+

ポリオレフィン NaCl 0,9% 0,1 & 1 mg/ml 22°C 特記なし
3 日
157
エビデンスレベル A+

ポリオレフィン NaCl 0,9% 0,1 & 1 mg/ml 32°C 特記なし
3 日
157
エビデンスレベル A+

ポリオレフィン NaCl 0,9% 0,1 & 1 mg/ml 4°C 遮光
3 日
157
エビデンスレベル A+

ポリオレフィン NaCl 0,9% 0,3 mg/ml 5°C 遮光
28 日
2174
エビデンスレベル A+

ポリオレフィン NaCl 0,9% 0,3 & 0,75 mg/ml 25°C 遮光
6 日
2174
エビデンスレベル A+

ポリオレフィン NaCl 0,9% 0,3 & 1,2 mg/ml 20°C-23°C 光
48 時間
669
エビデンスレベル A

ポリオレフィン NaCl 0,9% 0,3 & 1,2 mg/ml 25°C 遮光
72 時間
1522
製薬会社の安定性データ

ポリオレフィン NaCl 0,9% 0,3 &1,2 mg/ml 4°C 遮光
72 時間
2014
エビデンスレベル C

ポリオレフィン NaCl 0,9% 0,3 >>1,2 mg/ml 30°C 遮光
4 日
173
エビデンスレベル A

ポリオレフィン NaCl 0,9% 0,6 mg/ml 20°C-23°C 特記なし
25 時間
412
エビデンスレベル A

ポリオレフィン NaCl 0,9% 0,75 mg/ml 5°C 遮光
16 日
2174
エビデンスレベル A+

ポリオレフィン NaCl 0,9% 0.3 > 1.2 mg/ml 25°C 光
72 時間
1956
製薬会社の安定性データ

ポリオレフィン NaCl 0,9% 0.3 > 1.2 mg/ml 5°C 遮光
28 日
1956
製薬会社の安定性データ

ポリオレフィン NaCl 0,9% 1,2 mg/ml 20°C-23°C 特記なし
25 時間
412
エビデンスレベル A

ポリオレフィン NaCl 0,9% 1,2 mg/ml 25°C 遮光
4 日
2174
エビデンスレベル A+

ポリオレフィン NaCl 0,9% 1,2 mg/ml 5°C 遮光
12 日
2174
エビデンスレベル A+

ポリオレフィン グルコース5% 0,1 & 1 mg/ml 22°C 特記なし
3 日
157
エビデンスレベル A+

ポリオレフィン グルコース5% 0,1 & 1 mg/ml 32°C 特記なし
3 日
157
エビデンスレベル A+

ポリオレフィン グルコース5% 0,1 & 1 mg/ml 4°C 遮光
3 日
157
エビデンスレベル A+

ポリオレフィン グルコース5% 0,3 mg/ml 25°C 遮光
8 日
2174
エビデンスレベル A+

ポリオレフィン グルコース5% 0,3 mg/ml 5°C 遮光
28 日
2174
エビデンスレベル A+

ポリオレフィン グルコース5% 0,3 & 1,2 mg/ml 20°C-23°C 光
48 時間
669
エビデンスレベル A

ポリオレフィン グルコース5% 0,3 & 1,2 mg/ml 25°C 遮光
72 時間
1522
製薬会社の安定性データ

ポリオレフィン グルコース5% 0,3 &1,2 mg/ml 4°C 遮光
72 時間
2014
エビデンスレベル C

ポリオレフィン グルコース5% 0,3 >>1,2 mg/ml 30°C 遮光
4 日
173
エビデンスレベル A

ポリオレフィン グルコース5% 0,6 mg/ml 20°C-23°C 特記なし
25 時間
412
エビデンスレベル A

ポリオレフィン グルコース5% 0,75 mg/ml 25°C 遮光
4 日
2174
エビデンスレベル A+

ポリオレフィン グルコース5% 0,75 mg/ml 5°C 遮光
16 日
2174
エビデンスレベル A+

ポリオレフィン グルコース5% 0.3 > 1.2 mg/ml 25°C 光
72 時間
1956
製薬会社の安定性データ

ポリオレフィン グルコース5% 0.3 > 1.2 mg/ml 5°C 遮光
14 日
1956
製薬会社の安定性データ

ポリオレフィン グルコース5% 1,2 mg/ml 20°C-23°C 特記なし
12 時間
412
エビデンスレベル A

ポリオレフィン グルコース5% 1,2 mg/ml 25°C 遮光
4 日
2174
エビデンスレベル A+

ポリオレフィン グルコース5% 1,2 mg/ml 5°C 遮光
12 日
2174
エビデンスレベル A+


  Mentions Légales