Letztes “update” :
03/02/2026
Antikrebsmittel   Paclitaxel  
Injektion
Stabilität der Lösung Gemengestabilität Stabilitätbeeinflussende Faktoren Kompatibilitäten Applikationsart Literaturverzeichnis pdf
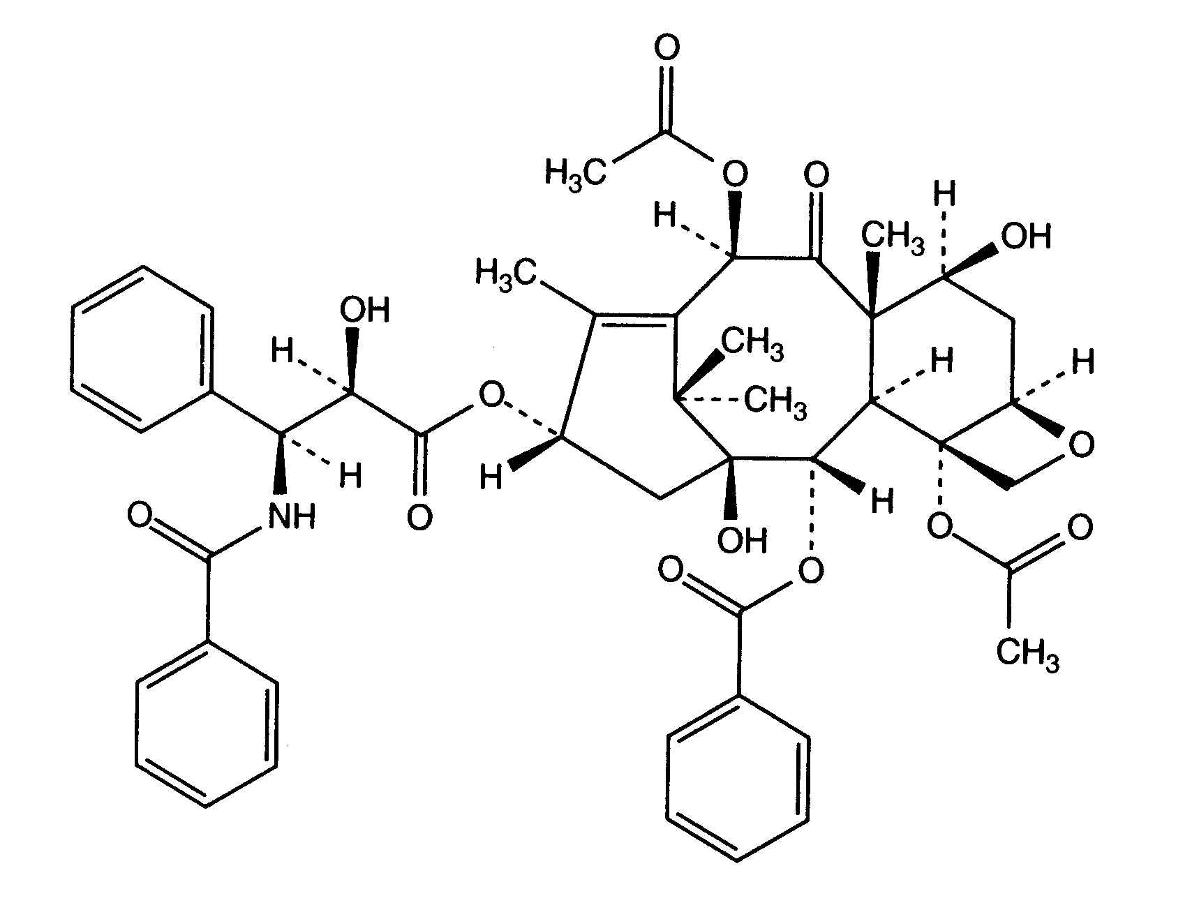
   Chemische Struktur  

Handelsmarke   Handelsmarke     

Handelsnamen sind als beispielhaft anzusehen. Sonstige Bestandteile können je nach Hersteller oder Land verschieden sein

Aclipak Malaysia
Acoexcel Mexiko
Acupaxil Marokko
Anzatax Ägypten, Iran, Malaysia, Marokko, Neuseeland, Peru, Saudi-Arabien, Tunesien, Türkei, Vereinigte Arabische Emirate
Aritaxel Deutschland
Cantaxel Indien
Clitaxel Argentinien, Venezuela
Dalys Argentinien
Ebetaxel Iran, Marokko, Österreich, Saudi-Arabien, Tunesien, Türkei
Genexol Ägypten, Indien, Iran
Onxol Vereinigte Staaten von Amerika
Paclinova Argentinien
Paclitaxin Brasilien, Luxemburg, Malaysia, Slowenien
Parexel Brasilien, Ecuador, Kolumbien, Venezuela
Paxene Dänemark, Griechenland, Irland, Niederlande, Polen, Spanien
Poltaxel Polen
Ribotax Deutschland
Taxol Ägypten, Brasilien, Dänemark, Griechenland, Iran, Italien, Japan, Kolumbien, Malaysia, Marokko, Neuseeland, Niederlande, Österreich, Peru, Polen, Portugal, Schweden, Schweiz, Slowenien, Türkei, Venezuela, Vereinigte Arabische Emirate
Taxomedac Deutschland
Vitax Brasilien, Peru, Türkei
Stabilität der Lösung   Injektion   Stabilität der Lösung : Paclitaxel     
Behälter Lösungsmittel Konzentration Temperatur Konservierung Dauer der Stabilität Literaturverzeichnis
Glas 0,9% Natriumchlorid 0.3 mg/ml 2-8°C Ohne Licht
13 Tag
2172
Evidenzgrad A+

Glas 0,9% Natriumchlorid 0.3 mg/ml 25°C Ohne Licht
3 Tag
2172
Evidenzgrad A+

Glas 0,9% Natriumchlorid 1,2 mg/ml 30°C Ohne Licht
4 Tag
173
Evidenzgrad A

Glas 0,9% Natriumchlorid 1.2 mg/ml 2-8°C Ohne Licht
8 Tag
2172
Evidenzgrad A+

Glas 0,9% Natriumchlorid 1.2 mg/ml 25°C Ohne Licht
5 Tag
2172
Evidenzgrad A+

Glas 5% Glucose 0,4 & 1,2 mg/ml 20°C-25°C Licht
5 Tag
1865
Evidenzgrad B

Glas 5% Glucose 0.3 mg/ml 2-8°C Ohne Licht
20 Tag
2172
Evidenzgrad A+

Glas 5% Glucose 0.3 & 1.2 mg/ml 25°C Ohne Licht
7 Tag
2172
Evidenzgrad A+

Glas 5% Glucose 1,2 mg/ml 30°C Ohne Licht
4 Tag
173
Evidenzgrad A

Glas 5% Glucose 1.2 mg/ml 2-8°C Ohne Licht
8 Tag
2172
Evidenzgrad A+

Polyäthylen 0,9% Natriumchlorid 0.3 mg/ml 2-8°C Ohne Licht
13 Tag
2172
Evidenzgrad A+

Polyäthylen 0,9% Natriumchlorid 0.3 & 1.2 mg/ml 25°C Ohne Licht
3 Tag
2172
Evidenzgrad A+

Polyäthylen 0,9% Natriumchlorid 1.2 mg/ml 2-8°C Ohne Licht
9 Tag
2172
Evidenzgrad A+

Polyäthylen 5% Glucose 0,4 & 1,2 mg/ml 20°C-25°C Mit oder ohne Licht
5 Tag
1865
Evidenzgrad B

Polyäthylen 5% Glucose 0,4 & 1,2 mg/ml 25°C Mit oder ohne Licht
5 Tag
1520
Stabilitätsdaten des Herstellers

Polyäthylen 5% Glucose 0,4 & 1,2 mg/ml 4°C Nicht genau angegeben
5 Tag
1520
Stabilitätsdaten des Herstellers

Polyäthylen 5% Glucose 0,4 & 1,2 mg/ml 4°C Ohne Licht
5 Tag
1865
Evidenzgrad B

Polyäthylen 5% Glucose 0.3 mg/ml 2-8°C Ohne Licht
13 Tag
2172
Evidenzgrad A+

Polyäthylen 5% Glucose 0.3 & 1.2 mg/ml 25°C Ohne Licht
3 Tag
2172
Evidenzgrad A+

Polyäthylen 5% Glucose 1.2 mg/ml 2-8°C Ohne Licht
10 Tag
2172
Evidenzgrad A+

Polyolefin 0,9% Natriumchlorid 0,1 & 1 mg/ml 22°C Nicht genau angegeben
3 Tag
157
Evidenzgrad A+

Polyolefin 0,9% Natriumchlorid 0,1 & 1 mg/ml 32°C Nicht genau angegeben
3 Tag
157
Evidenzgrad A+

Polyolefin 0,9% Natriumchlorid 0,1 & 1 mg/ml 4°C Ohne Licht
3 Tag
157
Evidenzgrad A+

Polyolefin 0,9% Natriumchlorid 0,3 mg/ml 5°C Ohne Licht
28 Tag
2174
Evidenzgrad A+

Polyolefin 0,9% Natriumchlorid 0,3 & 0,75 mg/ml 25°C Ohne Licht
6 Tag
2174
Evidenzgrad A+

Polyolefin 0,9% Natriumchlorid 0,3 & 1,2 mg/ml 20°C-23°C Licht
48 Stunde
669
Evidenzgrad A

Polyolefin 0,9% Natriumchlorid 0,3 & 1,2 mg/ml 25°C Ohne Licht
72 Stunde
1522
Stabilitätsdaten des Herstellers

Polyolefin 0,9% Natriumchlorid 0,3 &1,2 mg/ml 4°C Ohne Licht
72 Stunde
2014
Evidenzgrad C

Polyolefin 0,9% Natriumchlorid 0,3 >>1,2 mg/ml 30°C Ohne Licht
4 Tag
173
Evidenzgrad A

Polyolefin 0,9% Natriumchlorid 0,6 mg/ml 20°C-23°C Nicht genau angegeben
25 Stunde
412
Evidenzgrad A

Polyolefin 0,9% Natriumchlorid 0,75 mg/ml 5°C Ohne Licht
16 Tag
2174
Evidenzgrad A+

Polyolefin 0,9% Natriumchlorid 0.3 > 1.2 mg/ml 25°C Licht
72 Stunde
1956
Stabilitätsdaten des Herstellers

Polyolefin 0,9% Natriumchlorid 0.3 > 1.2 mg/ml 5°C Ohne Licht
28 Tag
1956
Stabilitätsdaten des Herstellers

Polyolefin 0,9% Natriumchlorid 1,2 mg/ml 20°C-23°C Nicht genau angegeben
25 Stunde
412
Evidenzgrad A

Polyolefin 0,9% Natriumchlorid 1,2 mg/ml 25°C Ohne Licht
4 Tag
2174
Evidenzgrad A+

Polyolefin 0,9% Natriumchlorid 1,2 mg/ml 5°C Ohne Licht
12 Tag
2174
Evidenzgrad A+

Polyolefin 5% Glucose 0,1 & 1 mg/ml 22°C Nicht genau angegeben
3 Tag
157
Evidenzgrad A+

Polyolefin 5% Glucose 0,1 & 1 mg/ml 32°C Nicht genau angegeben
3 Tag
157
Evidenzgrad A+

Polyolefin 5% Glucose 0,1 & 1 mg/ml 4°C Ohne Licht
3 Tag
157
Evidenzgrad A+

Polyolefin 5% Glucose 0,3 mg/ml 25°C Ohne Licht
8 Tag
2174
Evidenzgrad A+

Polyolefin 5% Glucose 0,3 mg/ml 5°C Ohne Licht
28 Tag
2174
Evidenzgrad A+

Polyolefin 5% Glucose 0,3 & 1,2 mg/ml 20°C-23°C Licht
48 Stunde
669
Evidenzgrad A

Polyolefin 5% Glucose 0,3 & 1,2 mg/ml 25°C Ohne Licht
72 Stunde
1522
Stabilitätsdaten des Herstellers

Polyolefin 5% Glucose 0,3 &1,2 mg/ml 4°C Ohne Licht
72 Stunde
2014
Evidenzgrad C

Polyolefin 5% Glucose 0,3 >>1,2 mg/ml 30°C Ohne Licht
4 Tag
173
Evidenzgrad A

Polyolefin 5% Glucose 0,6 mg/ml 20°C-23°C Nicht genau angegeben
25 Stunde
412
Evidenzgrad A

Polyolefin 5% Glucose 0,75 mg/ml 25°C Ohne Licht
4 Tag
2174
Evidenzgrad A+

Polyolefin 5% Glucose 0,75 mg/ml 5°C Ohne Licht
16 Tag
2174
Evidenzgrad A+

Polyolefin 5% Glucose 0.3 > 1.2 mg/ml 25°C Licht
72 Stunde
1956
Stabilitätsdaten des Herstellers

Polyolefin 5% Glucose 0.3 > 1.2 mg/ml 5°C Ohne Licht
14 Tag
1956
Stabilitätsdaten des Herstellers

Polyolefin 5% Glucose 1,2 mg/ml 20°C-23°C Nicht genau angegeben
12 Stunde
412
Evidenzgrad A

Polyolefin 5% Glucose 1,2 mg/ml 25°C Ohne Licht
4 Tag
2174
Evidenzgrad A+

Polyolefin 5% Glucose 1,2 mg/ml 5°C Ohne Licht
12 Tag
2174
Evidenzgrad A+


  Mentions Légales