Viimeisin päivitys :
18/03/2026
syöpälääke   Paclitaxel  
Injektioneste
Stabilius liuoksessa Stabilius seoksissa Tekijät, jotka vaikuttavat stabiliuteen Yhteensopivuus Antotapa Viitteet pdf
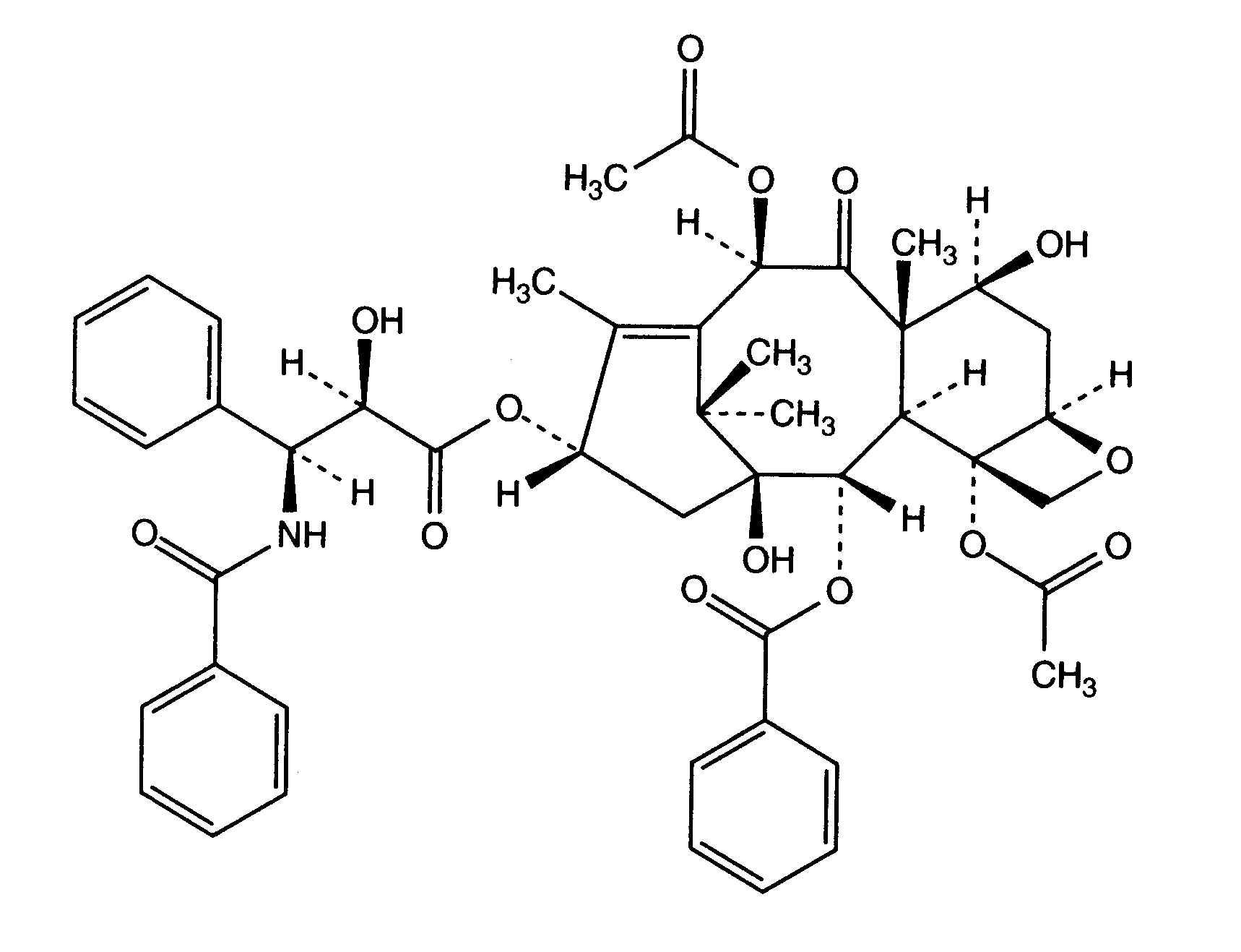
   Kemiallinen rakenne  

Kauppanimi   Kauppanimi     

Trade names are indicative and excipients composition can be different depending on the country and manufacturers

Aclipak Malesia
Acoexcel Meksiko
Acupaxil Marokko
Anzatax Egypti, Iran, Malesia, Marokko, Marokko, New Zealand, Saudi-Arabia, Tunisia, Turkki, Yhdistyneet arabiemiirikunnat
Aritaxel Saksa
Cantaxel Intia
Clitaxel Argentiina, Venezuela
Dalys Argentiina
Ebetaxel Iran, Itävalta, Marokko, Saudi-Arabia, Tunisia, Turkki
Genexol Egypti, Intia, Iran
Onxol Yhdysvallat
Paclinova Argentiina
Paclitaxin Brasilia, Luxemburg, Malesia, Slovenia
Parexel Brasilia, Ecuador, Kolumbia, Venezuela
Paxene Espanja, Hollanti, Irlanti, Kreikka, Puola, Tanska
Poltaxel Puola
Ribotax Saksa
Taxol Brasilia, Egypti, Hollanti, Iran, Italia, Itävalta, Japani, Kolumbia, Kreikka, Malesia, Marokko, Marokko, New Zealand, Portugali, Puola, Ruotsi, Slovenia, Sveitsi, Tanska, Turkki, Venezuela, Yhdistyneet arabiemiirikunnat
Taxomedac Saksa
Vitax Brasilia, Marokko, Turkki
Stabilius liuoksessa   Injektioneste   Stabilius liuoksessa : Paclitaxel     
Astia Liuotin Konsentraatio Lämpötila Säilytys Vakauden kesto Viitteet
Lasi Natriumkloridi 0,9% 0.3 mg/ml 2-8°C Suojattava valolta
13 Päivä
2172
Näytön laajuus A+

Lasi Natriumkloridi 0,9% 0.3 mg/ml 25°C Suojattava valolta
3 Päivä
2172
Näytön laajuus A+

Lasi Natriumkloridi 0,9% 1,2 mg/ml 30°C Suojattava valolta
4 Päivä
173
Näytön laajuus A

Lasi Natriumkloridi 0,9% 1.2 mg/ml 2-8°C Suojattava valolta
8 Päivä
2172
Näytön laajuus A+

Lasi Natriumkloridi 0,9% 1.2 mg/ml 25°C Suojattava valolta
5 Päivä
2172
Näytön laajuus A+

Lasi Glukoosi 5% 0,4 & 1,2 mg/ml 20°C-25°C Valo
5 Päivä
1865
Näytön laajuus B

Lasi Glukoosi 5% 0.3 mg/ml 2-8°C Suojattava valolta
20 Päivä
2172
Näytön laajuus A+

Lasi Glukoosi 5% 0.3 & 1.2 mg/ml 25°C Suojattava valolta
7 Päivä
2172
Näytön laajuus A+

Lasi Glukoosi 5% 1,2 mg/ml 30°C Suojattava valolta
4 Päivä
173
Näytön laajuus A

Lasi Glukoosi 5% 1.2 mg/ml 2-8°C Suojattava valolta
8 Päivä
2172
Näytön laajuus A+

Polyetyleeni Natriumkloridi 0,9% 0.3 mg/ml 2-8°C Suojattava valolta
13 Päivä
2172
Näytön laajuus A+

Polyetyleeni Natriumkloridi 0,9% 0.3 & 1.2 mg/ml 25°C Suojattava valolta
3 Päivä
2172
Näytön laajuus A+

Polyetyleeni Natriumkloridi 0,9% 1.2 mg/ml 2-8°C Suojattava valolta
9 Päivä
2172
Näytön laajuus A+

Polyetyleeni Glukoosi 5% 0,4 & 1,2 mg/ml 20°C-25°C Valossa tai suojassa valolta
5 Päivä
1865
Näytön laajuus B

Polyetyleeni Glukoosi 5% 0,4 & 1,2 mg/ml 25°C Valossa tai suojassa valolta
5 Päivä
1520
Valmistajan antamat stabiiliustiedot

Polyetyleeni Glukoosi 5% 0,4 & 1,2 mg/ml 4°C Ei määritetty
5 Päivä
1520
Valmistajan antamat stabiiliustiedot

Polyetyleeni Glukoosi 5% 0,4 & 1,2 mg/ml 4°C Suojattava valolta
5 Päivä
1865
Näytön laajuus B

Polyetyleeni Glukoosi 5% 0.3 mg/ml 2-8°C Suojattava valolta
13 Päivä
2172
Näytön laajuus A+

Polyetyleeni Glukoosi 5% 0.3 & 1.2 mg/ml 25°C Suojattava valolta
3 Päivä
2172
Näytön laajuus A+

Polyetyleeni Glukoosi 5% 1.2 mg/ml 2-8°C Suojattava valolta
10 Päivä
2172
Näytön laajuus A+

Polyolefiini Natriumkloridi 0,9% 0,1 & 1 mg/ml 22°C Ei määritetty
3 Päivä
157
Näytön laajuus A+

Polyolefiini Natriumkloridi 0,9% 0,1 & 1 mg/ml 32°C Ei määritetty
3 Päivä
157
Näytön laajuus A+

Polyolefiini Natriumkloridi 0,9% 0,1 & 1 mg/ml 4°C Suojattava valolta
3 Päivä
157
Näytön laajuus A+

Polyolefiini Natriumkloridi 0,9% 0,3 mg/ml 5°C Suojattava valolta
28 Päivä
2174
Näytön laajuus A+

Polyolefiini Natriumkloridi 0,9% 0,3 & 0,75 mg/ml 25°C Suojattava valolta
6 Päivä
2174
Näytön laajuus A+

Polyolefiini Natriumkloridi 0,9% 0,3 & 1,2 mg/ml 20°C-23°C Valo
48 tunti
669
Näytön laajuus A

Polyolefiini Natriumkloridi 0,9% 0,3 & 1,2 mg/ml 25°C Suojattava valolta
72 tunti
1522
Valmistajan antamat stabiiliustiedot

Polyolefiini Natriumkloridi 0,9% 0,3 &1,2 mg/ml 4°C Suojattava valolta
72 tunti
2014
Näytön laajuus C

Polyolefiini Natriumkloridi 0,9% 0,3 >>1,2 mg/ml 30°C Suojattava valolta
4 Päivä
173
Näytön laajuus A

Polyolefiini Natriumkloridi 0,9% 0,6 mg/ml 20°C-23°C Ei määritetty
25 tunti
412
Näytön laajuus A

Polyolefiini Natriumkloridi 0,9% 0,75 mg/ml 5°C Suojattava valolta
16 Päivä
2174
Näytön laajuus A+

Polyolefiini Natriumkloridi 0,9% 0.3 > 1.2 mg/ml 25°C Valo
72 tunti
1956
Valmistajan antamat stabiiliustiedot

Polyolefiini Natriumkloridi 0,9% 0.3 > 1.2 mg/ml 5°C Suojattava valolta
28 Päivä
1956
Valmistajan antamat stabiiliustiedot

Polyolefiini Natriumkloridi 0,9% 1,2 mg/ml 20°C-23°C Ei määritetty
25 tunti
412
Näytön laajuus A

Polyolefiini Natriumkloridi 0,9% 1,2 mg/ml 25°C Suojattava valolta
4 Päivä
2174
Näytön laajuus A+

Polyolefiini Natriumkloridi 0,9% 1,2 mg/ml 5°C Suojattava valolta
12 Päivä
2174
Näytön laajuus A+

Polyolefiini Glukoosi 5% 0,1 & 1 mg/ml 22°C Ei määritetty
3 Päivä
157
Näytön laajuus A+

Polyolefiini Glukoosi 5% 0,1 & 1 mg/ml 32°C Ei määritetty
3 Päivä
157
Näytön laajuus A+

Polyolefiini Glukoosi 5% 0,1 & 1 mg/ml 4°C Suojattava valolta
3 Päivä
157
Näytön laajuus A+

Polyolefiini Glukoosi 5% 0,3 mg/ml 25°C Suojattava valolta
8 Päivä
2174
Näytön laajuus A+

Polyolefiini Glukoosi 5% 0,3 mg/ml 5°C Suojattava valolta
28 Päivä
2174
Näytön laajuus A+

Polyolefiini Glukoosi 5% 0,3 & 1,2 mg/ml 20°C-23°C Valo
48 tunti
669
Näytön laajuus A

Polyolefiini Glukoosi 5% 0,3 & 1,2 mg/ml 25°C Suojattava valolta
72 tunti
1522
Valmistajan antamat stabiiliustiedot

Polyolefiini Glukoosi 5% 0,3 &1,2 mg/ml 4°C Suojattava valolta
72 tunti
2014
Näytön laajuus C

Polyolefiini Glukoosi 5% 0,3 >>1,2 mg/ml 30°C Suojattava valolta
4 Päivä
173
Näytön laajuus A

Polyolefiini Glukoosi 5% 0,6 mg/ml 20°C-23°C Ei määritetty
25 tunti
412
Näytön laajuus A

Polyolefiini Glukoosi 5% 0,75 mg/ml 25°C Suojattava valolta
4 Päivä
2174
Näytön laajuus A+

Polyolefiini Glukoosi 5% 0,75 mg/ml 5°C Suojattava valolta
16 Päivä
2174
Näytön laajuus A+

Polyolefiini Glukoosi 5% 0.3 > 1.2 mg/ml 25°C Valo
72 tunti
1956
Valmistajan antamat stabiiliustiedot

Polyolefiini Glukoosi 5% 0.3 > 1.2 mg/ml 5°C Suojattava valolta
14 Päivä
1956
Valmistajan antamat stabiiliustiedot

Polyolefiini Glukoosi 5% 1,2 mg/ml 20°C-23°C Ei määritetty
12 tunti
412
Näytön laajuus A

Polyolefiini Glukoosi 5% 1,2 mg/ml 25°C Suojattava valolta
4 Päivä
2174
Näytön laajuus A+

Polyolefiini Glukoosi 5% 1,2 mg/ml 5°C Suojattava valolta
12 Päivä
2174
Näytön laajuus A+


  Mentions Légales