Last update :
03/02/2026
Anticancer drug   Paclitaxel  
injection
Stability in solutions Stability of mixtures Factors which affect stability Compatibility Route of administration References pdf
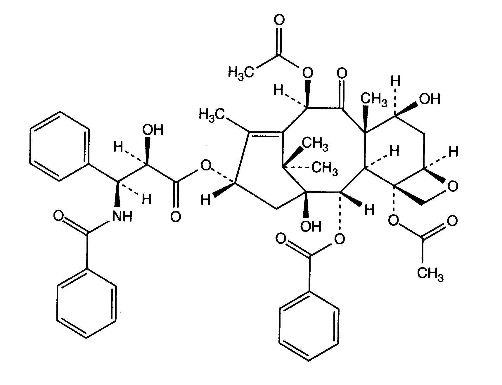
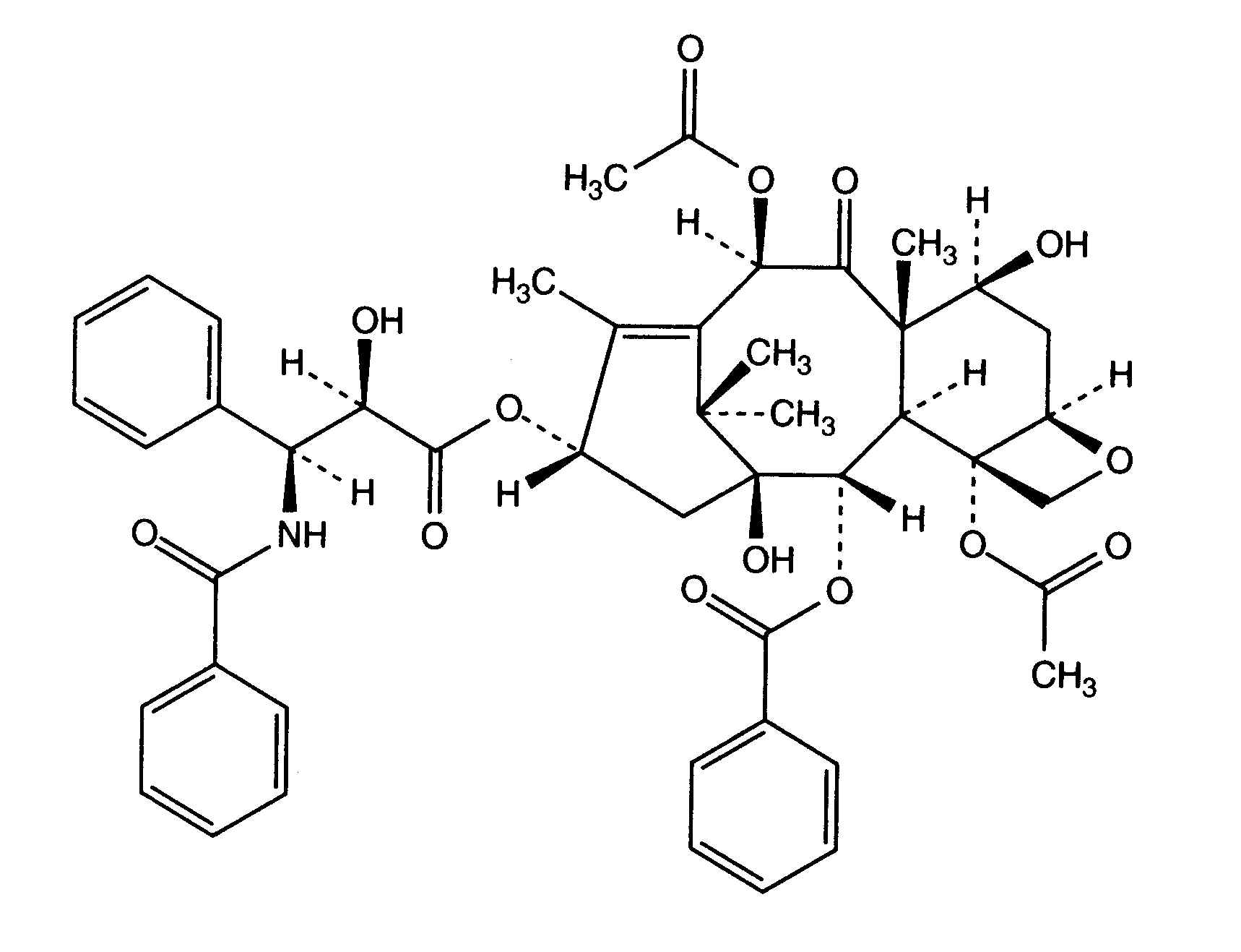
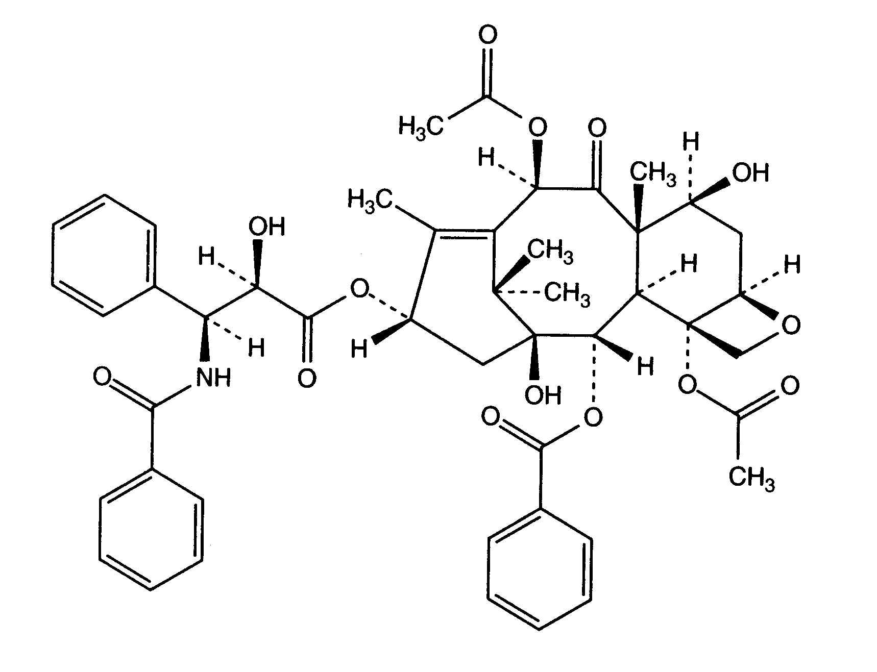
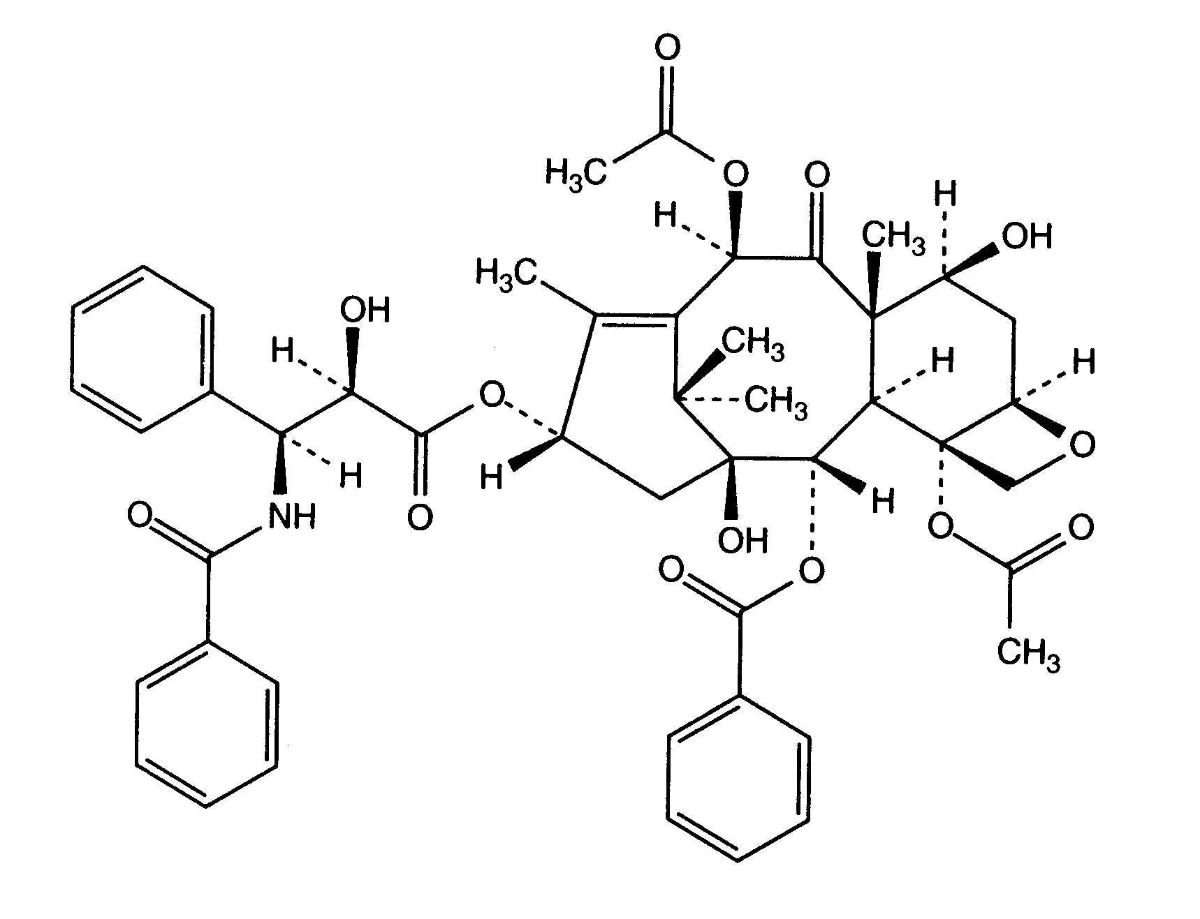
   Chemical structure  

Tradename   Tradename     

Trade names are indicative and excipients composition can be different depending on the country and manufacturers

Aclipak Malaysia
Acoexcel Mexico
Acupaxil Morocco
Anzatax Egypt, Iran, Malaysia, Morocco, New Zealand, Peru, Saudi Arabia, Tunisia, Turkey, United Arab Emirates
Aritaxel Germany
Cantaxel India
Clitaxel Argentina, Venezuela
Dalys Argentina
Ebetaxel Austria, Iran, Morocco, Saudi Arabia, Tunisia, Turkey
Genexol Egypt, India, Iran
Onxol United States of America
Paclinova Argentina
Paclitaxin Brazil, Luxembourg, Malaysia, Slovenia
Parexel Brazil, Colombia, Ecuador, Venezuela
Paxene Denmark, Greece, Ireland, Netherlands, Poland, Spain
Poltaxel Poland
Ribotax Germany
Taxol Austria, Brazil, Colombia, Denmark, Egypt, Greece, Iran, Italy, Japan, Malaysia, Morocco, Netherlands, New Zealand, Peru, Poland, Portugal, Slovenia, Sweden, Switzerland, Turkey, United Arab Emirates, Venezuela
Taxomedac Germany
Vitax Brazil, Peru, Turkey
Stability in solutions   injection   Stability in solutions : Paclitaxel     
Container Solvent Concentration Temperature Storage Duration of stability References
Glass Sodium chloride 0,9% 0.3 mg/ml 2-8°C Protect from light
13 Day
2172
Level of evidence A+

Glass Sodium chloride 0,9% 0.3 mg/ml 25°C Protect from light
3 Day
2172
Level of evidence A+

Glass Sodium chloride 0,9% 1,2 mg/ml 30°C Protect from light
4 Day
173
Level of evidence A

Glass Sodium chloride 0,9% 1.2 mg/ml 2-8°C Protect from light
8 Day
2172
Level of evidence A+

Glass Sodium chloride 0,9% 1.2 mg/ml 25°C Protect from light
5 Day
2172
Level of evidence A+

Glass Glucose 5% 0,4 & 1,2 mg/ml 20°C-25°C Light
5 Day
1865
Level of evidence B

Glass Glucose 5% 0.3 mg/ml 2-8°C Protect from light
20 Day
2172
Level of evidence A+

Glass Glucose 5% 0.3 & 1.2 mg/ml 25°C Protect from light
7 Day
2172
Level of evidence A+

Glass Glucose 5% 1,2 mg/ml 30°C Protect from light
4 Day
173
Level of evidence A

Glass Glucose 5% 1.2 mg/ml 2-8°C Protect from light
8 Day
2172
Level of evidence A+

Polyethylene Sodium chloride 0,9% 0.3 mg/ml 2-8°C Protect from light
13 Day
2172
Level of evidence A+

Polyethylene Sodium chloride 0,9% 0.3 & 1.2 mg/ml 25°C Protect from light
3 Day
2172
Level of evidence A+

Polyethylene Sodium chloride 0,9% 1.2 mg/ml 2-8°C Protect from light
9 Day
2172
Level of evidence A+

Polyethylene Glucose 5% 0,4 & 1,2 mg/ml 20°C-25°C With or without light
5 Day
1865
Level of evidence B

Polyethylene Glucose 5% 0,4 & 1,2 mg/ml 25°C With or without light
5 Day
1520
Manufacturer's stability data

Polyethylene Glucose 5% 0,4 & 1,2 mg/ml 4°C Not specified
5 Day
1520
Manufacturer's stability data

Polyethylene Glucose 5% 0,4 & 1,2 mg/ml 4°C Protect from light
5 Day
1865
Level of evidence B

Polyethylene Glucose 5% 0.3 mg/ml 2-8°C Protect from light
13 Day
2172
Level of evidence A+

Polyethylene Glucose 5% 0.3 & 1.2 mg/ml 25°C Protect from light
3 Day
2172
Level of evidence A+

Polyethylene Glucose 5% 1.2 mg/ml 2-8°C Protect from light
10 Day
2172
Level of evidence A+

Polyolefine Sodium chloride 0,9% 0,1 & 1 mg/ml 22°C Not specified
3 Day
157
Level of evidence A+

Polyolefine Sodium chloride 0,9% 0,1 & 1 mg/ml 32°C Not specified
3 Day
157
Level of evidence A+

Polyolefine Sodium chloride 0,9% 0,1 & 1 mg/ml 4°C Protect from light
3 Day
157
Level of evidence A+

Polyolefine Sodium chloride 0,9% 0,3 mg/ml 5°C Protect from light
28 Day
2174
Level of evidence A+

Polyolefine Sodium chloride 0,9% 0,3 & 0,75 mg/ml 25°C Protect from light
6 Day
2174
Level of evidence A+

Polyolefine Sodium chloride 0,9% 0,3 & 1,2 mg/ml 20°C-23°C Light
48 Hour
669
Level of evidence A

Polyolefine Sodium chloride 0,9% 0,3 & 1,2 mg/ml 25°C Protect from light
72 Hour
1522
Manufacturer's stability data

Polyolefine Sodium chloride 0,9% 0,3 &1,2 mg/ml 4°C Protect from light
72 Hour
2014
Level of evidence C

Polyolefine Sodium chloride 0,9% 0,3 >>1,2 mg/ml 30°C Protect from light
4 Day
173
Level of evidence A

Polyolefine Sodium chloride 0,9% 0,6 mg/ml 20°C-23°C Not specified
25 Hour
412
Level of evidence A

Polyolefine Sodium chloride 0,9% 0,75 mg/ml 5°C Protect from light
16 Day
2174
Level of evidence A+

Polyolefine Sodium chloride 0,9% 0.3 > 1.2 mg/ml 25°C Light
72 Hour
1956
Manufacturer's stability data

Polyolefine Sodium chloride 0,9% 0.3 > 1.2 mg/ml 5°C Protect from light
28 Day
1956
Manufacturer's stability data

Polyolefine Sodium chloride 0,9% 1,2 mg/ml 20°C-23°C Not specified
25 Hour
412
Level of evidence A

Polyolefine Sodium chloride 0,9% 1,2 mg/ml 25°C Protect from light
4 Day
2174
Level of evidence A+

Polyolefine Sodium chloride 0,9% 1,2 mg/ml 5°C Protect from light
12 Day
2174
Level of evidence A+

Polyolefine Glucose 5% 0,1 & 1 mg/ml 22°C Not specified
3 Day
157
Level of evidence A+

Polyolefine Glucose 5% 0,1 & 1 mg/ml 32°C Not specified
3 Day
157
Level of evidence A+

Polyolefine Glucose 5% 0,1 & 1 mg/ml 4°C Protect from light
3 Day
157
Level of evidence A+

Polyolefine Glucose 5% 0,3 mg/ml 25°C Protect from light
8 Day
2174
Level of evidence A+

Polyolefine Glucose 5% 0,3 mg/ml 5°C Protect from light
28 Day
2174
Level of evidence A+

Polyolefine Glucose 5% 0,3 & 1,2 mg/ml 20°C-23°C Light
48 Hour
669
Level of evidence A

Polyolefine Glucose 5% 0,3 & 1,2 mg/ml 25°C Protect from light
72 Hour
1522
Manufacturer's stability data

Polyolefine Glucose 5% 0,3 &1,2 mg/ml 4°C Protect from light
72 Hour
2014
Level of evidence C

Polyolefine Glucose 5% 0,3 >>1,2 mg/ml 30°C Protect from light
4 Day
173
Level of evidence A

Polyolefine Glucose 5% 0,6 mg/ml 20°C-23°C Not specified
25 Hour
412
Level of evidence A

Polyolefine Glucose 5% 0,75 mg/ml 25°C Protect from light
4 Day
2174
Level of evidence A+

Polyolefine Glucose 5% 0,75 mg/ml 5°C Protect from light
16 Day
2174
Level of evidence A+

Polyolefine Glucose 5% 0.3 > 1.2 mg/ml 25°C Light
72 Hour
1956
Manufacturer's stability data

Polyolefine Glucose 5% 0.3 > 1.2 mg/ml 5°C Protect from light
14 Day
1956
Manufacturer's stability data

Polyolefine Glucose 5% 1,2 mg/ml 20°C-23°C Not specified
12 Hour
412
Level of evidence A

Polyolefine Glucose 5% 1,2 mg/ml 25°C Protect from light
4 Day
2174
Level of evidence A+

Polyolefine Glucose 5% 1,2 mg/ml 5°C Protect from light
12 Day
2174
Level of evidence A+


  Mentions Légales