Seneste opdatering :
18/03/2026
anticancer medicin   Paclitaxel  
Injektion
Stabilitet i (vandige) opløsninger Stabilitet i blandinger Faktorer der påvirker stabiliteten Kompatibilitet Administrationsvej Bibliografi pdf
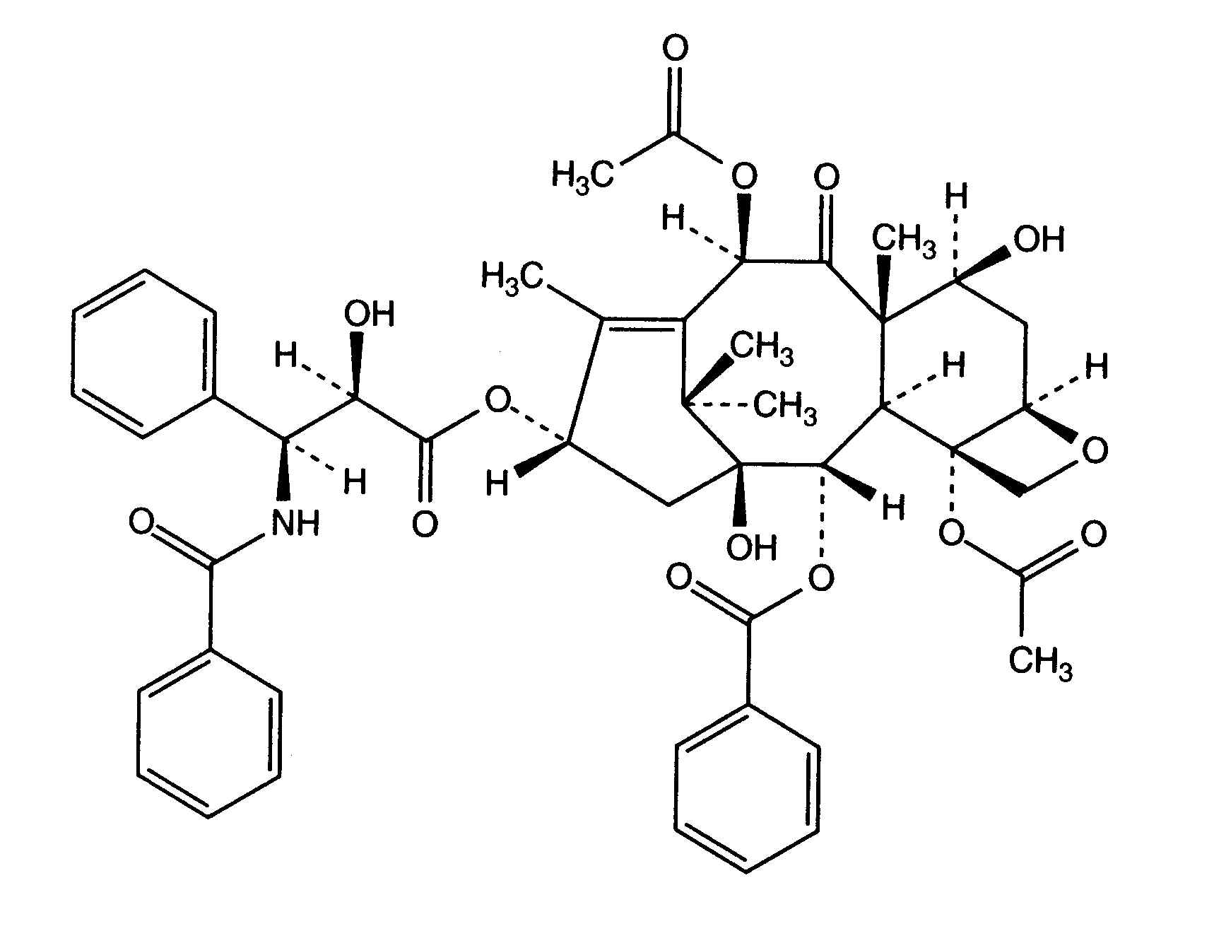
   Kemisk struktur  

Handelsnavn   Handelsnavn     

Handel navne er vejledende og hjælpestoffer sammensætning kan være forskellig afhængigt af landet og laboratorier

Aclipak Malaysia
Acoexcel Mexico
Acupaxil Marokko
Anzatax Forenede Arabiske Emirater, Iran, Malaysia, Marokko, Marokko, New Zealand, Saudi-Arabien, Tunesien, Tyrkiet, Ægypten
Aritaxel Tyskland
Cantaxel Indien
Clitaxel Argentina, Venezuela
Dalys Argentina
Ebetaxel Iran, Marokko, Saudi-Arabien, Tunesien, Tyrkiet, Østrig
Genexol Indien, Iran, Ægypten
Onxol USA
Paclinova Argentina
Paclitaxin Brasilien, Luxemborg, Malaysia, Slovenien
Parexel Brasilien, Colombia, Ecuador, Venezuela
Paxene Danmark, Grækenland, Holland, Irland, Polen, Spanien
Poltaxel Polen
Ribotax Tyskland
Taxol Brasilien, Colombia, Danmark, Forenede Arabiske Emirater, Grækenland, Holland, Iran, Italien, Japan, Malaysia, Marokko, Marokko, New Zealand, Polen, Portugal, Schweiz, Slovenien, Sverige, Tyrkiet, Venezuela, Ægypten, Østrig
Taxomedac Tyskland
Vitax Brasilien, Marokko, Tyrkiet
Stabilitet i (vandige) opløsninger   Injektion   Stabilitet i (vandige) opløsninger : Paclitaxel     
Beholder Opløsningsmiddel Koncentration Temperatur Konservering Varighed af stabilitet Bibliografi
Glas 0,9 % Natriumklorid 0.3 mg/ml 2-8°C Beskyt mod lys
13 Dag
2172
Level af bevismateriale A+

Glas 0,9 % Natriumklorid 0.3 mg/ml 25°C Beskyt mod lys
3 Dag
2172
Level af bevismateriale A+

Glas 0,9 % Natriumklorid 1,2 mg/ml 30°C Beskyt mod lys
4 Dag
173
Level af bevismateriale A

Glas 0,9 % Natriumklorid 1.2 mg/ml 2-8°C Beskyt mod lys
8 Dag
2172
Level af bevismateriale A+

Glas 0,9 % Natriumklorid 1.2 mg/ml 25°C Beskyt mod lys
5 Dag
2172
Level af bevismateriale A+

Glas 5 % Glukose 0,4 & 1,2 mg/ml 20°C-25°C Lys
5 Dag
1865
Level af bevismateriale B

Glas 5 % Glukose 0.3 mg/ml 2-8°C Beskyt mod lys
20 Dag
2172
Level af bevismateriale A+

Glas 5 % Glukose 0.3 & 1.2 mg/ml 25°C Beskyt mod lys
7 Dag
2172
Level af bevismateriale A+

Glas 5 % Glukose 1,2 mg/ml 30°C Beskyt mod lys
4 Dag
173
Level af bevismateriale A

Glas 5 % Glukose 1.2 mg/ml 2-8°C Beskyt mod lys
8 Dag
2172
Level af bevismateriale A+

Polyethylen 0,9 % Natriumklorid 0.3 mg/ml 2-8°C Beskyt mod lys
13 Dag
2172
Level af bevismateriale A+

Polyethylen 0,9 % Natriumklorid 0.3 & 1.2 mg/ml 25°C Beskyt mod lys
3 Dag
2172
Level af bevismateriale A+

Polyethylen 0,9 % Natriumklorid 1.2 mg/ml 2-8°C Beskyt mod lys
9 Dag
2172
Level af bevismateriale A+

Polyethylen 5 % Glukose 0,4 & 1,2 mg/ml 20°C-25°C Med eller uden lys
5 Dag
1865
Level af bevismateriale B

Polyethylen 5 % Glukose 0,4 & 1,2 mg/ml 25°C Med eller uden lys
5 Dag
1520
Producentens stabilitet data

Polyethylen 5 % Glukose 0,4 & 1,2 mg/ml 4°C Ikke nærmere angivet
5 Dag
1520
Producentens stabilitet data

Polyethylen 5 % Glukose 0,4 & 1,2 mg/ml 4°C Beskyt mod lys
5 Dag
1865
Level af bevismateriale B

Polyethylen 5 % Glukose 0.3 mg/ml 2-8°C Beskyt mod lys
13 Dag
2172
Level af bevismateriale A+

Polyethylen 5 % Glukose 0.3 & 1.2 mg/ml 25°C Beskyt mod lys
3 Dag
2172
Level af bevismateriale A+

Polyethylen 5 % Glukose 1.2 mg/ml 2-8°C Beskyt mod lys
10 Dag
2172
Level af bevismateriale A+

Polyolefin 0,9 % Natriumklorid 0,1 & 1 mg/ml 22°C Ikke nærmere angivet
3 Dag
157
Level af bevismateriale A+

Polyolefin 0,9 % Natriumklorid 0,1 & 1 mg/ml 32°C Ikke nærmere angivet
3 Dag
157
Level af bevismateriale A+

Polyolefin 0,9 % Natriumklorid 0,1 & 1 mg/ml 4°C Beskyt mod lys
3 Dag
157
Level af bevismateriale A+

Polyolefin 0,9 % Natriumklorid 0,3 mg/ml 5°C Beskyt mod lys
28 Dag
2174
Level af bevismateriale A+

Polyolefin 0,9 % Natriumklorid 0,3 & 0,75 mg/ml 25°C Beskyt mod lys
6 Dag
2174
Level af bevismateriale A+

Polyolefin 0,9 % Natriumklorid 0,3 & 1,2 mg/ml 20°C-23°C Lys
48 Time
669
Level af bevismateriale A

Polyolefin 0,9 % Natriumklorid 0,3 & 1,2 mg/ml 25°C Beskyt mod lys
72 Time
1522
Producentens stabilitet data

Polyolefin 0,9 % Natriumklorid 0,3 &1,2 mg/ml 4°C Beskyt mod lys
72 Time
2014
Level af bevismateriale C

Polyolefin 0,9 % Natriumklorid 0,3 >>1,2 mg/ml 30°C Beskyt mod lys
4 Dag
173
Level af bevismateriale A

Polyolefin 0,9 % Natriumklorid 0,6 mg/ml 20°C-23°C Ikke nærmere angivet
25 Time
412
Level af bevismateriale A

Polyolefin 0,9 % Natriumklorid 0,75 mg/ml 5°C Beskyt mod lys
16 Dag
2174
Level af bevismateriale A+

Polyolefin 0,9 % Natriumklorid 0.3 > 1.2 mg/ml 25°C Lys
72 Time
1956
Producentens stabilitet data

Polyolefin 0,9 % Natriumklorid 0.3 > 1.2 mg/ml 5°C Beskyt mod lys
28 Dag
1956
Producentens stabilitet data

Polyolefin 0,9 % Natriumklorid 1,2 mg/ml 20°C-23°C Ikke nærmere angivet
25 Time
412
Level af bevismateriale A

Polyolefin 0,9 % Natriumklorid 1,2 mg/ml 25°C Beskyt mod lys
4 Dag
2174
Level af bevismateriale A+

Polyolefin 0,9 % Natriumklorid 1,2 mg/ml 5°C Beskyt mod lys
12 Dag
2174
Level af bevismateriale A+

Polyolefin 5 % Glukose 0,1 & 1 mg/ml 22°C Ikke nærmere angivet
3 Dag
157
Level af bevismateriale A+

Polyolefin 5 % Glukose 0,1 & 1 mg/ml 32°C Ikke nærmere angivet
3 Dag
157
Level af bevismateriale A+

Polyolefin 5 % Glukose 0,1 & 1 mg/ml 4°C Beskyt mod lys
3 Dag
157
Level af bevismateriale A+

Polyolefin 5 % Glukose 0,3 mg/ml 25°C Beskyt mod lys
8 Dag
2174
Level af bevismateriale A+

Polyolefin 5 % Glukose 0,3 mg/ml 5°C Beskyt mod lys
28 Dag
2174
Level af bevismateriale A+

Polyolefin 5 % Glukose 0,3 & 1,2 mg/ml 20°C-23°C Lys
48 Time
669
Level af bevismateriale A

Polyolefin 5 % Glukose 0,3 & 1,2 mg/ml 25°C Beskyt mod lys
72 Time
1522
Producentens stabilitet data

Polyolefin 5 % Glukose 0,3 &1,2 mg/ml 4°C Beskyt mod lys
72 Time
2014
Level af bevismateriale C

Polyolefin 5 % Glukose 0,3 >>1,2 mg/ml 30°C Beskyt mod lys
4 Dag
173
Level af bevismateriale A

Polyolefin 5 % Glukose 0,6 mg/ml 20°C-23°C Ikke nærmere angivet
25 Time
412
Level af bevismateriale A

Polyolefin 5 % Glukose 0,75 mg/ml 25°C Beskyt mod lys
4 Dag
2174
Level af bevismateriale A+

Polyolefin 5 % Glukose 0,75 mg/ml 5°C Beskyt mod lys
16 Dag
2174
Level af bevismateriale A+

Polyolefin 5 % Glukose 0.3 > 1.2 mg/ml 25°C Lys
72 Time
1956
Producentens stabilitet data

Polyolefin 5 % Glukose 0.3 > 1.2 mg/ml 5°C Beskyt mod lys
14 Dag
1956
Producentens stabilitet data

Polyolefin 5 % Glukose 1,2 mg/ml 20°C-23°C Ikke nærmere angivet
12 Time
412
Level af bevismateriale A

Polyolefin 5 % Glukose 1,2 mg/ml 25°C Beskyt mod lys
4 Dag
2174
Level af bevismateriale A+

Polyolefin 5 % Glukose 1,2 mg/ml 5°C Beskyt mod lys
12 Dag
2174
Level af bevismateriale A+


  Mentions Légales