Siste oppdatering :
18/03/2026
kreft narkotika   Paclitaxel  
Injeksjon
Oppløsningsstabilitet Stabilitet i blandinger Faktorer som påvirker stabiliteten Kompatibilitet Administrasjonsmåte Referanser pdf
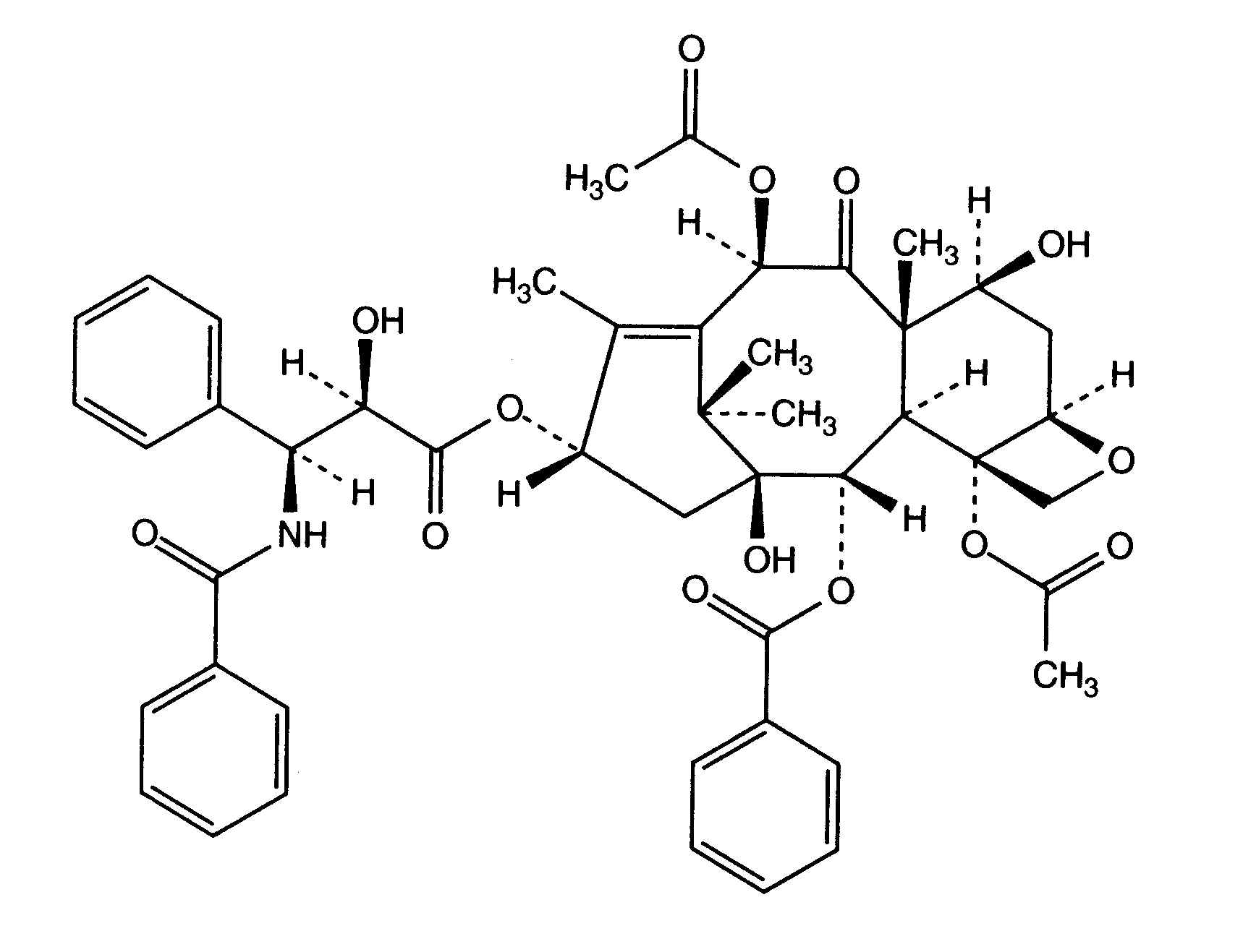
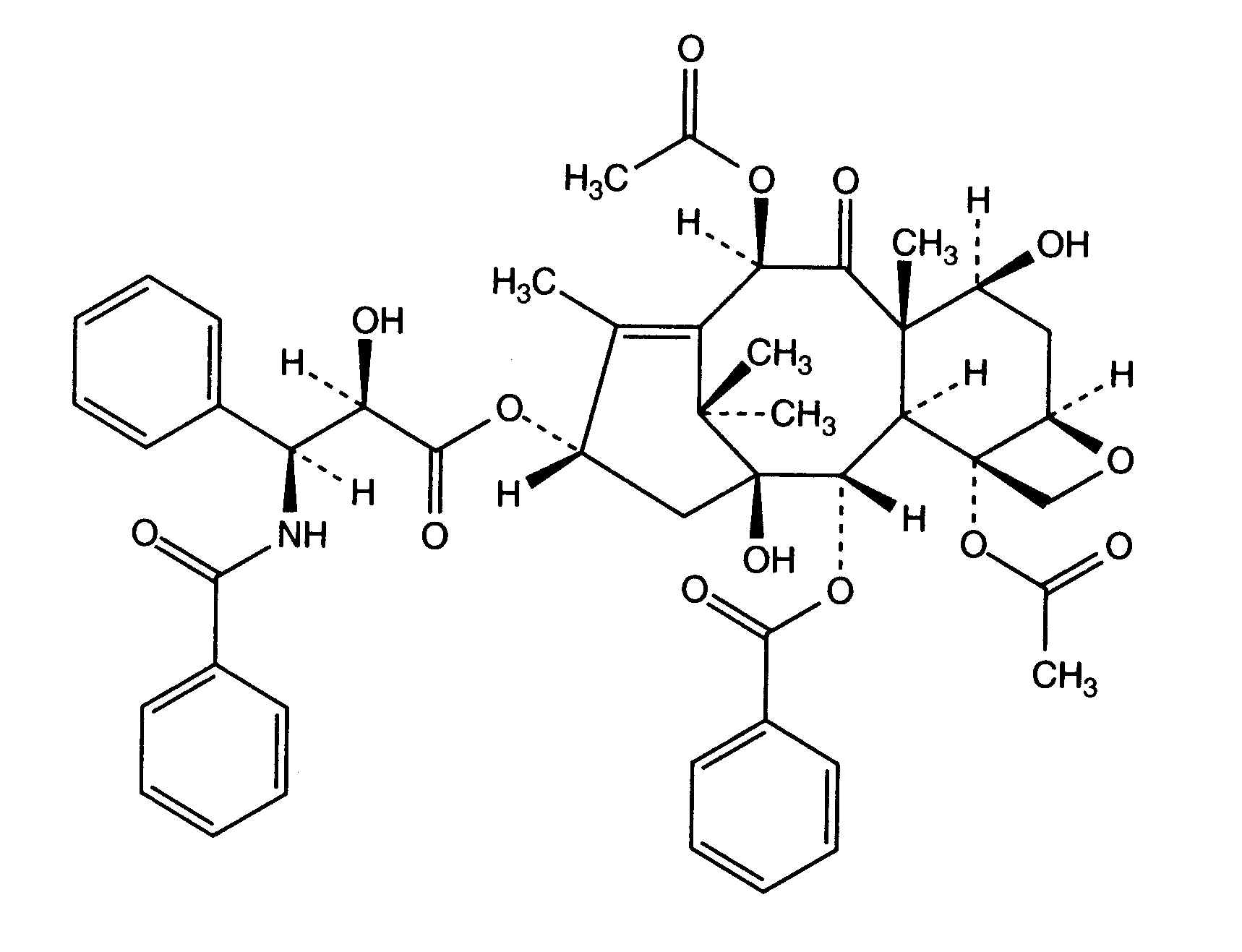
   Kjemisk struktur  

Handelsnavn   Handelsnavn     

Handelsnavn er veiledende og sammensetning av hjelpestoffer kan være forskjellig avhengig av land og produsent

Aclipak Malaysia
Acoexcel Mexico
Acupaxil Marokko
Anzatax De forente arabiske emirater, Egypt, Iran, Malaysia, Marokko, New Zealand, Peru, Saudi-Arabia, Tunisia, Tyrkia
Aritaxel Tyskland
Cantaxel India
Clitaxel Argentina, Venezuela
Dalys Argentina
Ebetaxel Iran, Marokko, Saudi-Arabia, Tunisia, Tyrkia, Østerrike
Genexol Egypt, India, Iran
Onxol USA
Paclinova Argentina
Paclitaxin Brasil, Luxembourg, Malaysia, Slovenia
Parexel Brasil, Colombia, Ecuador, Venezuela
Paxene Danmark, Hellas, Irland, Nederland, Polen, Spania
Poltaxel Polen
Ribotax Tyskland
Taxol Brasil, Colombia, Danmark, De forente arabiske emirater, Egypt, Hellas, Iran, Italia, Japan, Malaysia, Marokko, Nederland, New Zealand, Peru, Polen, Portugal, Slovenia, Sveits, Sverige, Tyrkia, Venezuela, Østerrike
Taxomedac Tyskland
Vitax Brasil, Peru, Tyrkia
Oppløsningsstabilitet   Injeksjon   Oppløsningsstabilitet : Paclitaxel     
Beholder Oppløsningsmiddel Konsentrasjon Temperatur Oppbevaring Varighet av stabilitet Referanser
Glass Natriumklorid 0,9 % 0.3 mg/ml 2-8°C Beskyttes mot lys
13 Dag
2172
Bevisgrad A +

Glass Natriumklorid 0,9 % 0.3 mg/ml 25°C Beskyttes mot lys
3 Dag
2172
Bevisgrad A +

Glass Natriumklorid 0,9 % 1,2 mg/ml 30°C Beskyttes mot lys
4 Dag
173
Bevisgrad A

Glass Natriumklorid 0,9 % 1.2 mg/ml 2-8°C Beskyttes mot lys
8 Dag
2172
Bevisgrad A +

Glass Natriumklorid 0,9 % 1.2 mg/ml 25°C Beskyttes mot lys
5 Dag
2172
Bevisgrad A +

Glass Glukose 5 % 0,4 & 1,2 mg/ml 20°C-25°C Lys
5 Dag
1865
Bevisgrad B

Glass Glukose 5 % 0.3 mg/ml 2-8°C Beskyttes mot lys
20 Dag
2172
Bevisgrad A +

Glass Glukose 5 % 0.3 & 1.2 mg/ml 25°C Beskyttes mot lys
7 Dag
2172
Bevisgrad A +

Glass Glukose 5 % 1,2 mg/ml 30°C Beskyttes mot lys
4 Dag
173
Bevisgrad A

Glass Glukose 5 % 1.2 mg/ml 2-8°C Beskyttes mot lys
8 Dag
2172
Bevisgrad A +

Polyetylen Natriumklorid 0,9 % 0.3 mg/ml 2-8°C Beskyttes mot lys
13 Dag
2172
Bevisgrad A +

Polyetylen Natriumklorid 0,9 % 0.3 & 1.2 mg/ml 25°C Beskyttes mot lys
3 Dag
2172
Bevisgrad A +

Polyetylen Natriumklorid 0,9 % 1.2 mg/ml 2-8°C Beskyttes mot lys
9 Dag
2172
Bevisgrad A +

Polyetylen Glukose 5 % 0,4 & 1,2 mg/ml 20°C-25°C Med eller uten lys
5 Dag
1865
Bevisgrad B

Polyetylen Glukose 5 % 0,4 & 1,2 mg/ml 25°C Med eller uten lys
5 Dag
1520
Stabilitetsopplysninger fra produsent

Polyetylen Glukose 5 % 0,4 & 1,2 mg/ml 4°C Ikke angitt
5 Dag
1520
Stabilitetsopplysninger fra produsent

Polyetylen Glukose 5 % 0,4 & 1,2 mg/ml 4°C Beskyttes mot lys
5 Dag
1865
Bevisgrad B

Polyetylen Glukose 5 % 0.3 mg/ml 2-8°C Beskyttes mot lys
13 Dag
2172
Bevisgrad A +

Polyetylen Glukose 5 % 0.3 & 1.2 mg/ml 25°C Beskyttes mot lys
3 Dag
2172
Bevisgrad A +

Polyetylen Glukose 5 % 1.2 mg/ml 2-8°C Beskyttes mot lys
10 Dag
2172
Bevisgrad A +

Polyolefin Natriumklorid 0,9 % 0,1 & 1 mg/ml 22°C Ikke angitt
3 Dag
157
Bevisgrad A +

Polyolefin Natriumklorid 0,9 % 0,1 & 1 mg/ml 32°C Ikke angitt
3 Dag
157
Bevisgrad A +

Polyolefin Natriumklorid 0,9 % 0,1 & 1 mg/ml 4°C Beskyttes mot lys
3 Dag
157
Bevisgrad A +

Polyolefin Natriumklorid 0,9 % 0,3 mg/ml 5°C Beskyttes mot lys
28 Dag
2174
Bevisgrad A +

Polyolefin Natriumklorid 0,9 % 0,3 & 0,75 mg/ml 25°C Beskyttes mot lys
6 Dag
2174
Bevisgrad A +

Polyolefin Natriumklorid 0,9 % 0,3 & 1,2 mg/ml 20°C-23°C Lys
48 Tid
669
Bevisgrad A

Polyolefin Natriumklorid 0,9 % 0,3 & 1,2 mg/ml 25°C Beskyttes mot lys
72 Tid
1522
Stabilitetsopplysninger fra produsent

Polyolefin Natriumklorid 0,9 % 0,3 &1,2 mg/ml 4°C Beskyttes mot lys
72 Tid
2014
Bevisgrad C

Polyolefin Natriumklorid 0,9 % 0,3 >>1,2 mg/ml 30°C Beskyttes mot lys
4 Dag
173
Bevisgrad A

Polyolefin Natriumklorid 0,9 % 0,6 mg/ml 20°C-23°C Ikke angitt
25 Tid
412
Bevisgrad A

Polyolefin Natriumklorid 0,9 % 0,75 mg/ml 5°C Beskyttes mot lys
16 Dag
2174
Bevisgrad A +

Polyolefin Natriumklorid 0,9 % 0.3 > 1.2 mg/ml 25°C Lys
72 Tid
1956
Stabilitetsopplysninger fra produsent

Polyolefin Natriumklorid 0,9 % 0.3 > 1.2 mg/ml 5°C Beskyttes mot lys
28 Dag
1956
Stabilitetsopplysninger fra produsent

Polyolefin Natriumklorid 0,9 % 1,2 mg/ml 20°C-23°C Ikke angitt
25 Tid
412
Bevisgrad A

Polyolefin Natriumklorid 0,9 % 1,2 mg/ml 25°C Beskyttes mot lys
4 Dag
2174
Bevisgrad A +

Polyolefin Natriumklorid 0,9 % 1,2 mg/ml 5°C Beskyttes mot lys
12 Dag
2174
Bevisgrad A +

Polyolefin Glukose 5 % 0,1 & 1 mg/ml 22°C Ikke angitt
3 Dag
157
Bevisgrad A +

Polyolefin Glukose 5 % 0,1 & 1 mg/ml 32°C Ikke angitt
3 Dag
157
Bevisgrad A +

Polyolefin Glukose 5 % 0,1 & 1 mg/ml 4°C Beskyttes mot lys
3 Dag
157
Bevisgrad A +

Polyolefin Glukose 5 % 0,3 mg/ml 25°C Beskyttes mot lys
8 Dag
2174
Bevisgrad A +

Polyolefin Glukose 5 % 0,3 mg/ml 5°C Beskyttes mot lys
28 Dag
2174
Bevisgrad A +

Polyolefin Glukose 5 % 0,3 & 1,2 mg/ml 20°C-23°C Lys
48 Tid
669
Bevisgrad A

Polyolefin Glukose 5 % 0,3 & 1,2 mg/ml 25°C Beskyttes mot lys
72 Tid
1522
Stabilitetsopplysninger fra produsent

Polyolefin Glukose 5 % 0,3 &1,2 mg/ml 4°C Beskyttes mot lys
72 Tid
2014
Bevisgrad C

Polyolefin Glukose 5 % 0,3 >>1,2 mg/ml 30°C Beskyttes mot lys
4 Dag
173
Bevisgrad A

Polyolefin Glukose 5 % 0,6 mg/ml 20°C-23°C Ikke angitt
25 Tid
412
Bevisgrad A

Polyolefin Glukose 5 % 0,75 mg/ml 25°C Beskyttes mot lys
4 Dag
2174
Bevisgrad A +

Polyolefin Glukose 5 % 0,75 mg/ml 5°C Beskyttes mot lys
16 Dag
2174
Bevisgrad A +

Polyolefin Glukose 5 % 0.3 > 1.2 mg/ml 25°C Lys
72 Tid
1956
Stabilitetsopplysninger fra produsent

Polyolefin Glukose 5 % 0.3 > 1.2 mg/ml 5°C Beskyttes mot lys
14 Dag
1956
Stabilitetsopplysninger fra produsent

Polyolefin Glukose 5 % 1,2 mg/ml 20°C-23°C Ikke angitt
12 Tid
412
Bevisgrad A

Polyolefin Glukose 5 % 1,2 mg/ml 25°C Beskyttes mot lys
4 Dag
2174
Bevisgrad A +

Polyolefin Glukose 5 % 1,2 mg/ml 5°C Beskyttes mot lys
12 Dag
2174
Bevisgrad A +


  Mentions Légales