Poslední aktualizace :
03/02/2026
rakovina drog   Paclitaxel  
injekce
Stabilita roztoků Stabilita směsí Faktory ovlivňující stabilitu Kompatibilita Způsoby aplikace Odkazy pdf
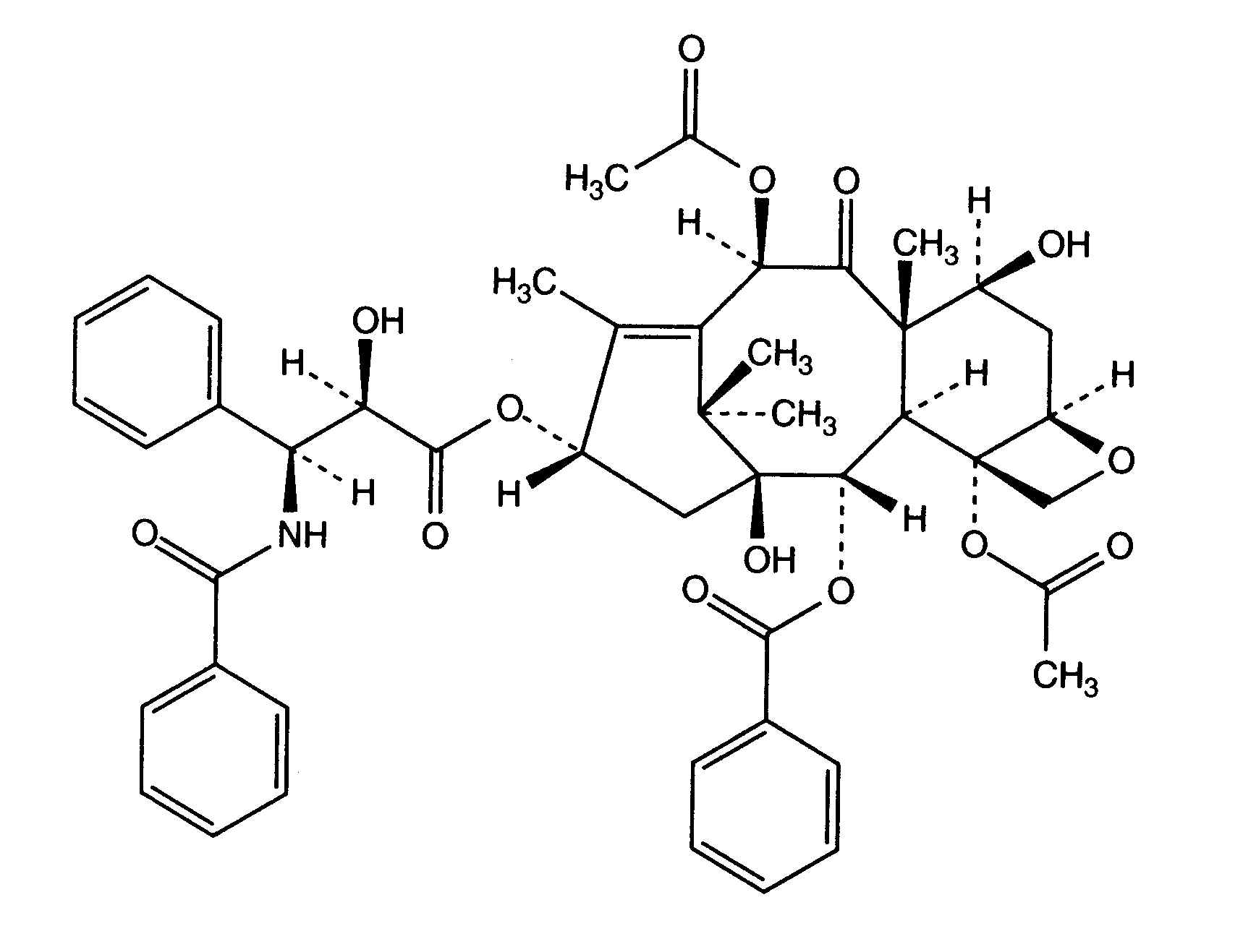
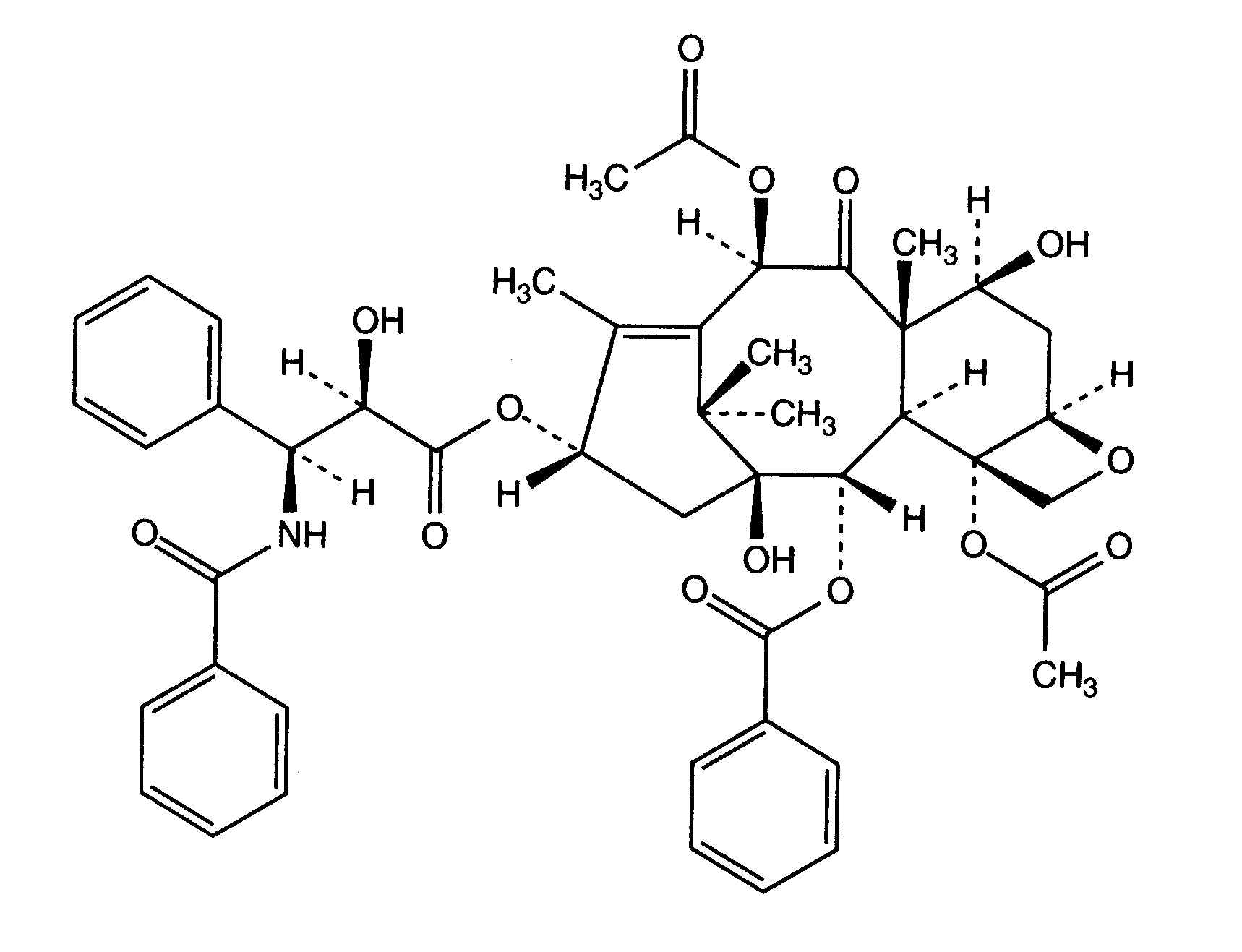
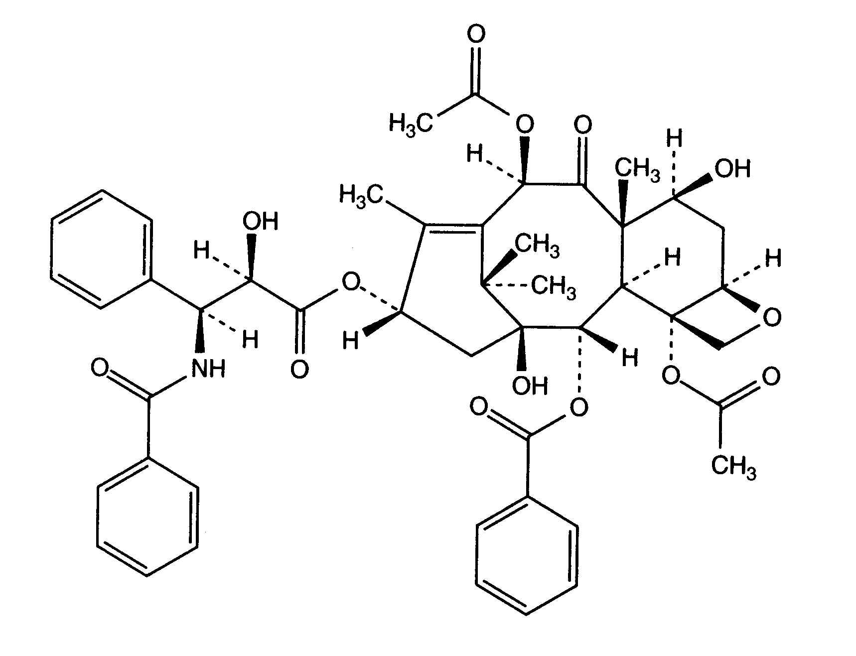
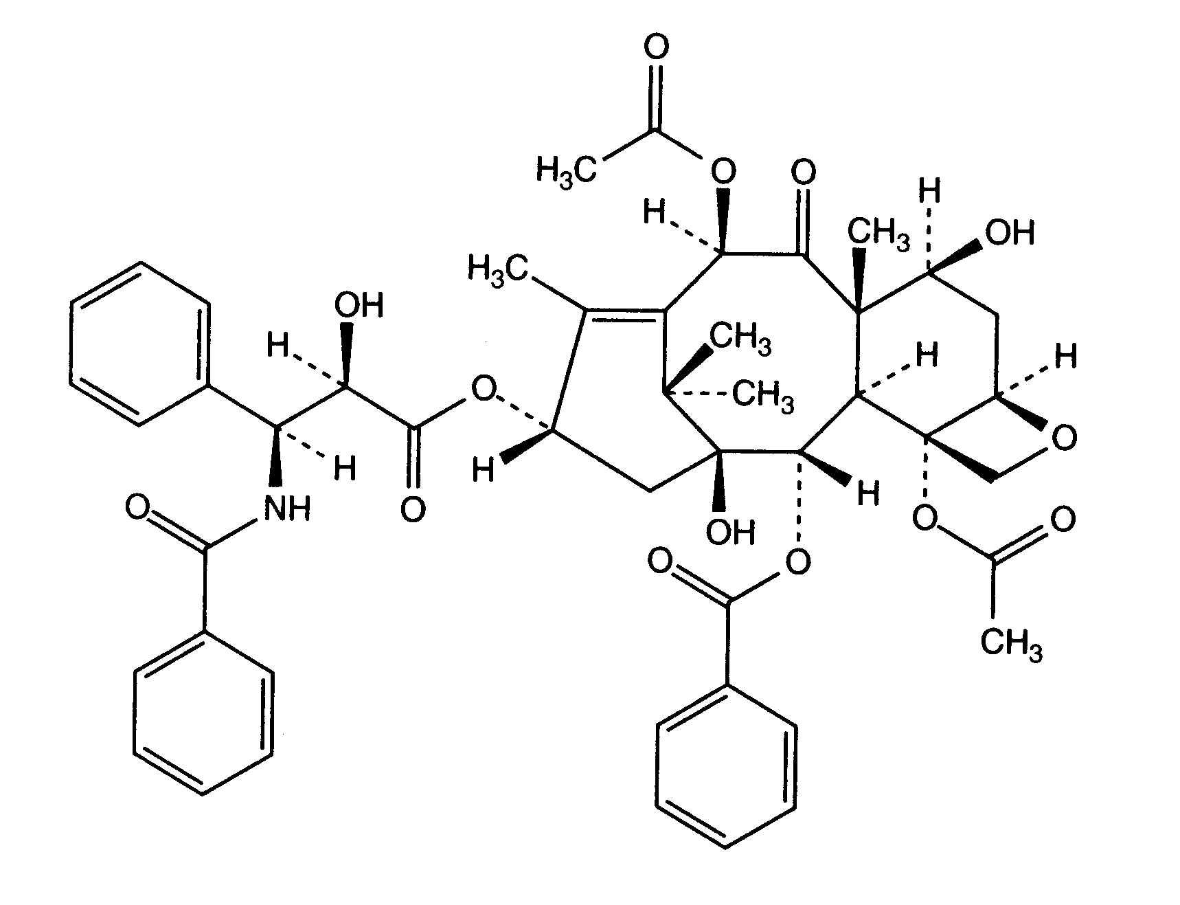
   Chemický vzorec  

Obchodní název   Obchodní název     

Trade names are indicative and excipients composition can be different depending on the country and manufacturers

Aclipak Malajsie
Acoexcel Mexiko
Acupaxil Maroko
Anzatax Egypt, Írán, Malajsie, Maroko, nový Zéland, Peru, Saúdská Arábie, Spojené arabské emiráty, Tunisko, Turecko
Aritaxel NÏmecko
Cantaxel Indie
Clitaxel Argentina, Venezuela
Dalys Argentina
Ebetaxel Írán, Maroko, Rakousko, Saúdská Arábie, Tunisko, Turecko
Genexol Egypt, Indie, Írán
Onxol USA
Paclinova Argentina
Paclitaxin BrazÌlie, Lucembursko, Malajsie, Slovinsko
Parexel BrazÌlie, Ekvádor, Kolumbie, Venezuela
Paxene äpanÏlsko, Dánsko, Irsko, Nizozemsko, Polsko, ÿecko
Poltaxel Polsko
Ribotax NÏmecko
Taxol BrazÌlie, Dánsko, Egypt, Írán, Itálie, Japonsko, Kolumbie, Malajsie, Maroko, Nizozemsko, nový Zéland, Peru, Polsko, Portugalsko, Rakousko, Slovinsko, Spojené arabské emiráty, Švédsko, Švýcarsko, Turecko, Venezuela, ÿecko
Taxomedac NÏmecko
Vitax BrazÌlie, Peru, Turecko
Stabilita roztoků   injekce   Stabilita roztoků : Paclitaxel     
Obal RozpouötÏdlo Koncentrace Teplota Uchovávání Trvání stability Odkazy
Sklo Chlorid sodný 0,9% 0.3 mg/ml 2-8°C Chráněno před světlem
13 Den
2172
Úroveň zkoušky A+

Sklo Chlorid sodný 0,9% 0.3 mg/ml 25°C Chráněno před světlem
3 Den
2172
Úroveň zkoušky A+

Sklo Chlorid sodný 0,9% 1,2 mg/ml 30°C Chráněno před světlem
4 Den
173
Úroveň zkoušky A

Sklo Chlorid sodný 0,9% 1.2 mg/ml 2-8°C Chráněno před světlem
8 Den
2172
Úroveň zkoušky A+

Sklo Chlorid sodný 0,9% 1.2 mg/ml 25°C Chráněno před světlem
5 Den
2172
Úroveň zkoušky A+

Sklo GlukÛza 5% 0,4 & 1,2 mg/ml 20°C-25°C SvÏtlo
5 Den
1865
Úroveň zkoušky B

Sklo GlukÛza 5% 0.3 mg/ml 2-8°C Chráněno před světlem
20 Den
2172
Úroveň zkoušky A+

Sklo GlukÛza 5% 0.3 & 1.2 mg/ml 25°C Chráněno před světlem
7 Den
2172
Úroveň zkoušky A+

Sklo GlukÛza 5% 1,2 mg/ml 30°C Chráněno před světlem
4 Den
173
Úroveň zkoušky A

Sklo GlukÛza 5% 1.2 mg/ml 2-8°C Chráněno před světlem
8 Den
2172
Úroveň zkoušky A+

Polyethylen Chlorid sodný 0,9% 0.3 mg/ml 2-8°C Chráněno před světlem
13 Den
2172
Úroveň zkoušky A+

Polyethylen Chlorid sodný 0,9% 0.3 & 1.2 mg/ml 25°C Chráněno před světlem
3 Den
2172
Úroveň zkoušky A+

Polyethylen Chlorid sodný 0,9% 1.2 mg/ml 2-8°C Chráněno před světlem
9 Den
2172
Úroveň zkoušky A+

Polyethylen GlukÛza 5% 0,4 & 1,2 mg/ml 20°C-25°C S nebo bez svÏtla
5 Den
1865
Úroveň zkoušky B

Polyethylen GlukÛza 5% 0,4 & 1,2 mg/ml 25°C S nebo bez svÏtla
5 Den
1520
Údaje o stabilitě od výrobce

Polyethylen GlukÛza 5% 0,4 & 1,2 mg/ml 4°C Nespecifikováno
5 Den
1520
Údaje o stabilitě od výrobce

Polyethylen GlukÛza 5% 0,4 & 1,2 mg/ml 4°C Chráněno před světlem
5 Den
1865
Úroveň zkoušky B

Polyethylen GlukÛza 5% 0.3 mg/ml 2-8°C Chráněno před světlem
13 Den
2172
Úroveň zkoušky A+

Polyethylen GlukÛza 5% 0.3 & 1.2 mg/ml 25°C Chráněno před světlem
3 Den
2172
Úroveň zkoušky A+

Polyethylen GlukÛza 5% 1.2 mg/ml 2-8°C Chráněno před světlem
10 Den
2172
Úroveň zkoušky A+

Polyoleofin Chlorid sodný 0,9% 0,1 & 1 mg/ml 22°C Nespecifikováno
3 Den
157
Úroveň zkoušky A+

Polyoleofin Chlorid sodný 0,9% 0,1 & 1 mg/ml 32°C Nespecifikováno
3 Den
157
Úroveň zkoušky A+

Polyoleofin Chlorid sodný 0,9% 0,1 & 1 mg/ml 4°C Chráněno před světlem
3 Den
157
Úroveň zkoušky A+

Polyoleofin Chlorid sodný 0,9% 0,3 mg/ml 5°C Chráněno před světlem
28 Den
2174
Úroveň zkoušky A+

Polyoleofin Chlorid sodný 0,9% 0,3 & 0,75 mg/ml 25°C Chráněno před světlem
6 Den
2174
Úroveň zkoušky A+

Polyoleofin Chlorid sodný 0,9% 0,3 & 1,2 mg/ml 20°C-23°C SvÏtlo
48 Hodina
669
Úroveň zkoušky A

Polyoleofin Chlorid sodný 0,9% 0,3 & 1,2 mg/ml 25°C Chráněno před světlem
72 Hodina
1522
Údaje o stabilitě od výrobce

Polyoleofin Chlorid sodný 0,9% 0,3 &1,2 mg/ml 4°C Chráněno před světlem
72 Hodina
2014
Úroveň zkoušky C

Polyoleofin Chlorid sodný 0,9% 0,3 >>1,2 mg/ml 30°C Chráněno před světlem
4 Den
173
Úroveň zkoušky A

Polyoleofin Chlorid sodný 0,9% 0,6 mg/ml 20°C-23°C Nespecifikováno
25 Hodina
412
Úroveň zkoušky A

Polyoleofin Chlorid sodný 0,9% 0,75 mg/ml 5°C Chráněno před světlem
16 Den
2174
Úroveň zkoušky A+

Polyoleofin Chlorid sodný 0,9% 0.3 > 1.2 mg/ml 25°C SvÏtlo
72 Hodina
1956
Údaje o stabilitě od výrobce

Polyoleofin Chlorid sodný 0,9% 0.3 > 1.2 mg/ml 5°C Chráněno před světlem
28 Den
1956
Údaje o stabilitě od výrobce

Polyoleofin Chlorid sodný 0,9% 1,2 mg/ml 20°C-23°C Nespecifikováno
25 Hodina
412
Úroveň zkoušky A

Polyoleofin Chlorid sodný 0,9% 1,2 mg/ml 25°C Chráněno před světlem
4 Den
2174
Úroveň zkoušky A+

Polyoleofin Chlorid sodný 0,9% 1,2 mg/ml 5°C Chráněno před světlem
12 Den
2174
Úroveň zkoušky A+

Polyoleofin GlukÛza 5% 0,1 & 1 mg/ml 22°C Nespecifikováno
3 Den
157
Úroveň zkoušky A+

Polyoleofin GlukÛza 5% 0,1 & 1 mg/ml 32°C Nespecifikováno
3 Den
157
Úroveň zkoušky A+

Polyoleofin GlukÛza 5% 0,1 & 1 mg/ml 4°C Chráněno před světlem
3 Den
157
Úroveň zkoušky A+

Polyoleofin GlukÛza 5% 0,3 mg/ml 25°C Chráněno před světlem
8 Den
2174
Úroveň zkoušky A+

Polyoleofin GlukÛza 5% 0,3 mg/ml 5°C Chráněno před světlem
28 Den
2174
Úroveň zkoušky A+

Polyoleofin GlukÛza 5% 0,3 & 1,2 mg/ml 20°C-23°C SvÏtlo
48 Hodina
669
Úroveň zkoušky A

Polyoleofin GlukÛza 5% 0,3 & 1,2 mg/ml 25°C Chráněno před světlem
72 Hodina
1522
Údaje o stabilitě od výrobce

Polyoleofin GlukÛza 5% 0,3 &1,2 mg/ml 4°C Chráněno před světlem
72 Hodina
2014
Úroveň zkoušky C

Polyoleofin GlukÛza 5% 0,3 >>1,2 mg/ml 30°C Chráněno před světlem
4 Den
173
Úroveň zkoušky A

Polyoleofin GlukÛza 5% 0,6 mg/ml 20°C-23°C Nespecifikováno
25 Hodina
412
Úroveň zkoušky A

Polyoleofin GlukÛza 5% 0,75 mg/ml 25°C Chráněno před světlem
4 Den
2174
Úroveň zkoušky A+

Polyoleofin GlukÛza 5% 0,75 mg/ml 5°C Chráněno před světlem
16 Den
2174
Úroveň zkoušky A+

Polyoleofin GlukÛza 5% 0.3 > 1.2 mg/ml 25°C SvÏtlo
72 Hodina
1956
Údaje o stabilitě od výrobce

Polyoleofin GlukÛza 5% 0.3 > 1.2 mg/ml 5°C Chráněno před světlem
14 Den
1956
Údaje o stabilitě od výrobce

Polyoleofin GlukÛza 5% 1,2 mg/ml 20°C-23°C Nespecifikováno
12 Hodina
412
Úroveň zkoušky A

Polyoleofin GlukÛza 5% 1,2 mg/ml 25°C Chráněno před světlem
4 Den
2174
Úroveň zkoušky A+

Polyoleofin GlukÛza 5% 1,2 mg/ml 5°C Chráněno před světlem
12 Den
2174
Úroveň zkoušky A+


  Mentions Légales