fermer
Senaste uppdateringen :
17/12/2025
Infostab
Förteckning över substanser
Sammanfattande listor
Sök efter kompatibilitet
Kompatibilitetstabell
Hänvisningar
forskargrupper
valistab
Posters
Anslutningar
sponsorer
Författare
Användaranvisning
Nyhetsbladet
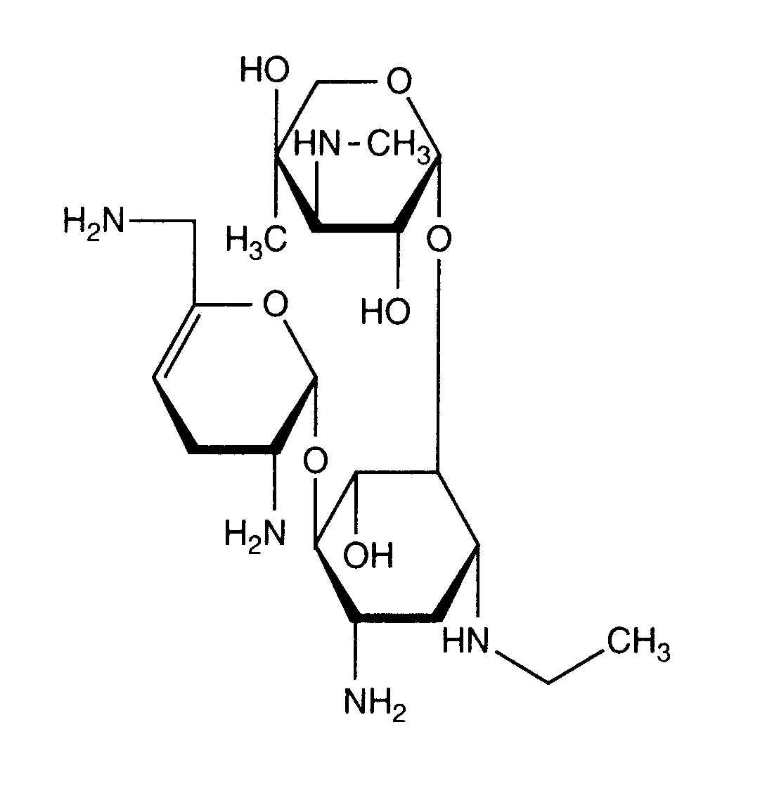
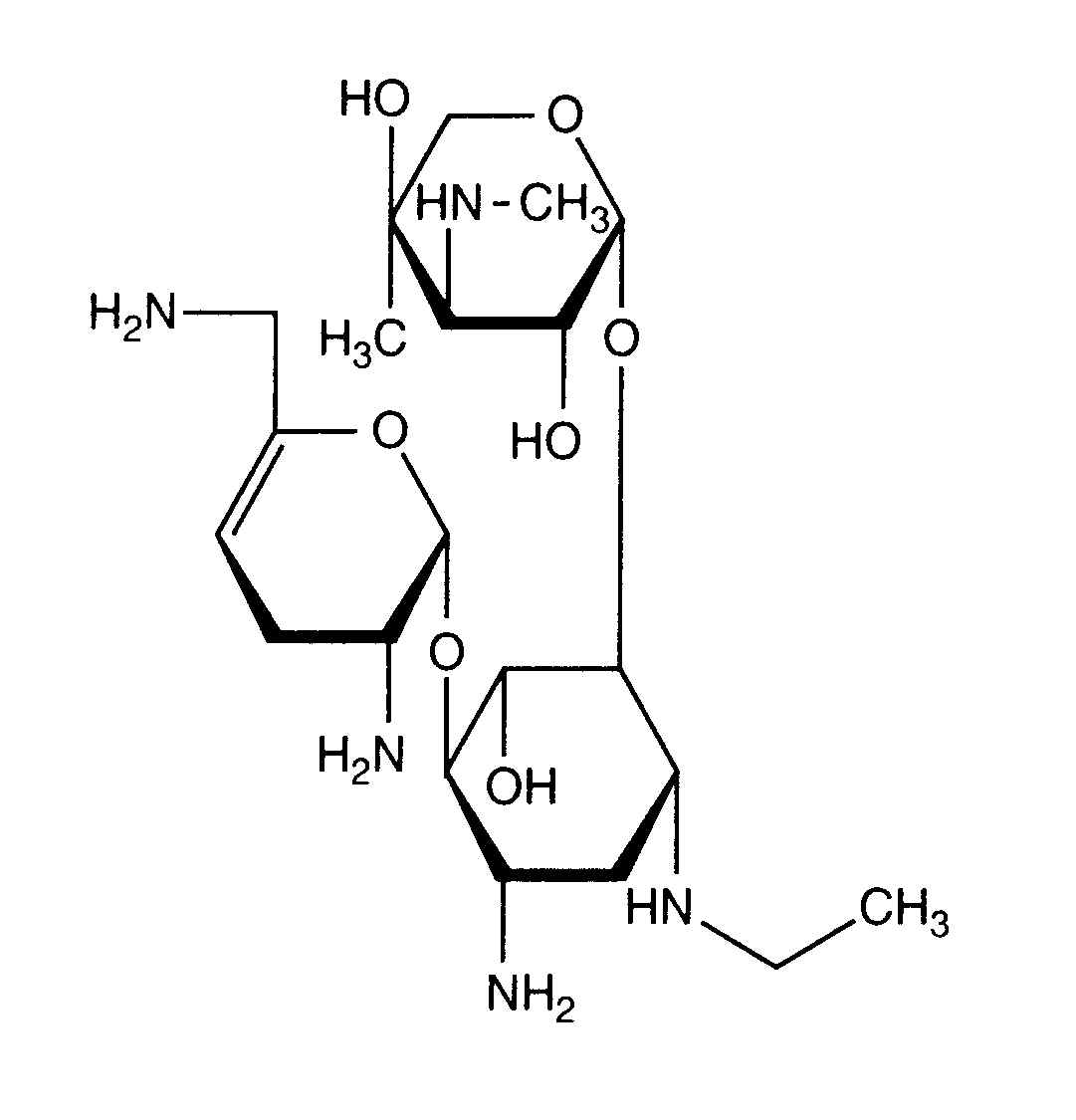
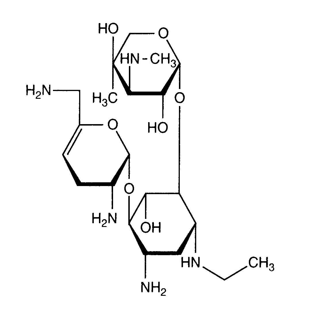
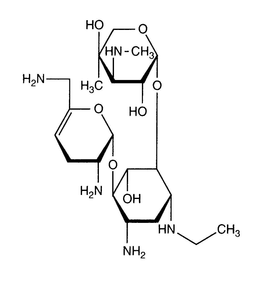
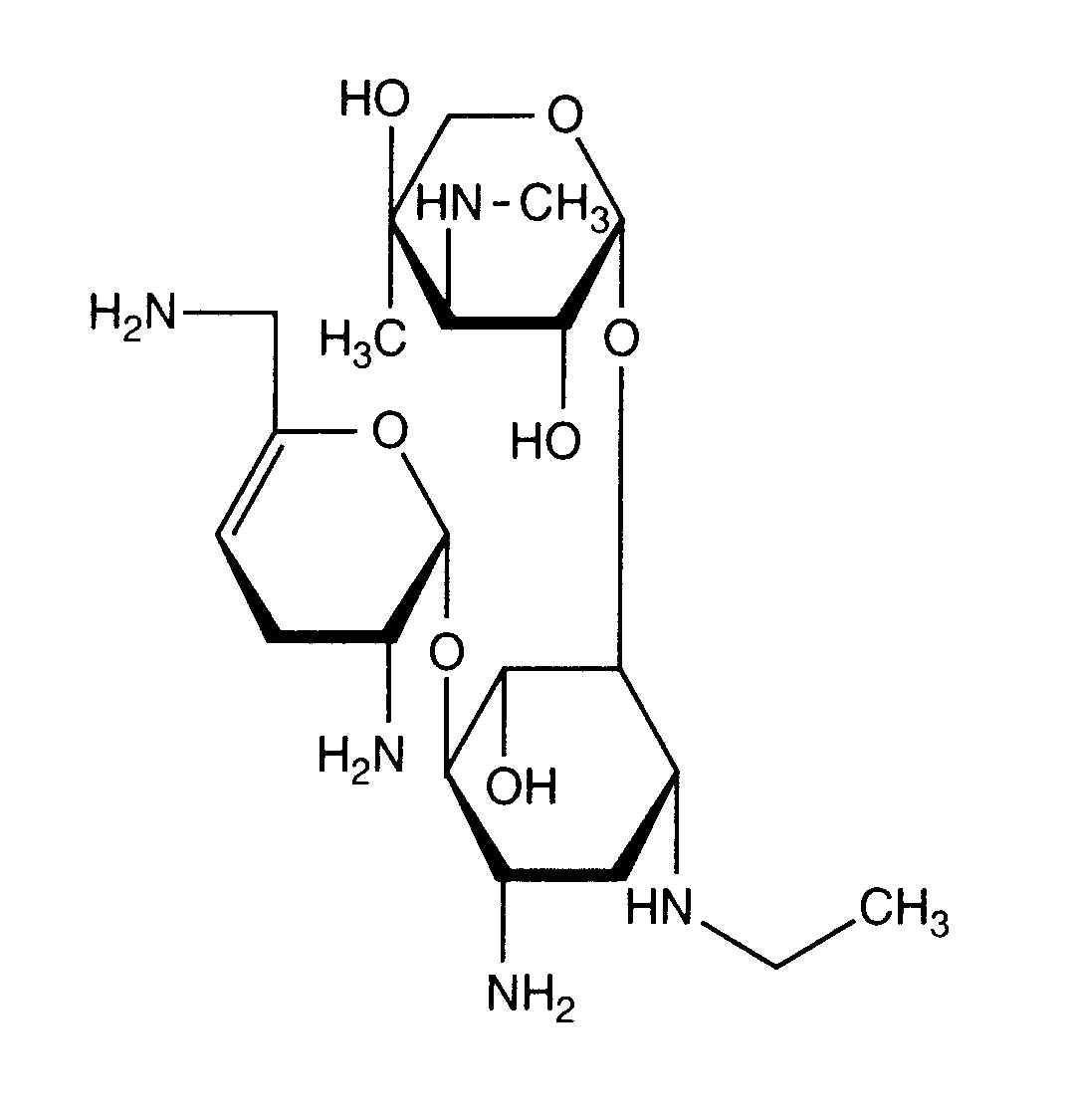
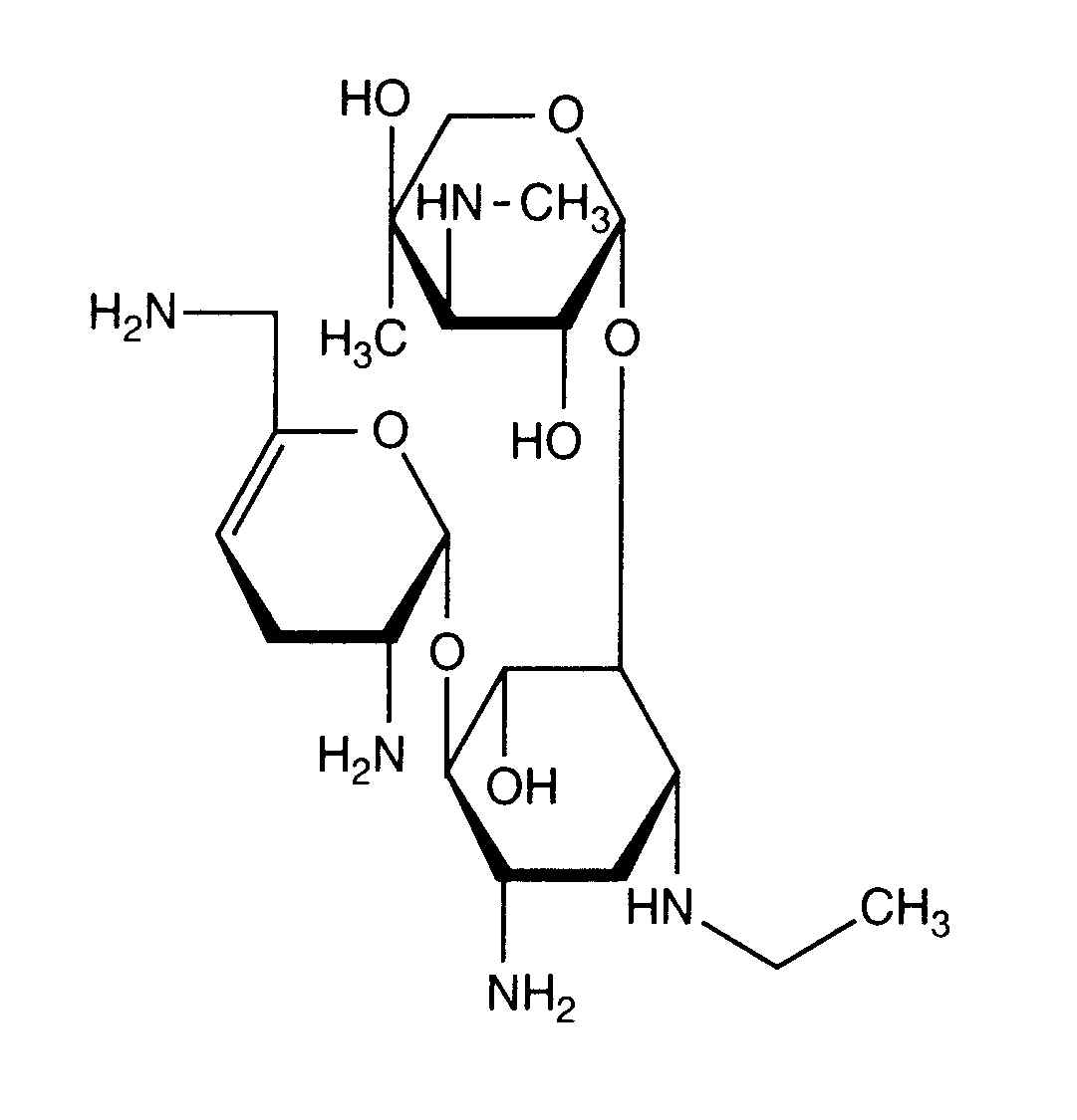
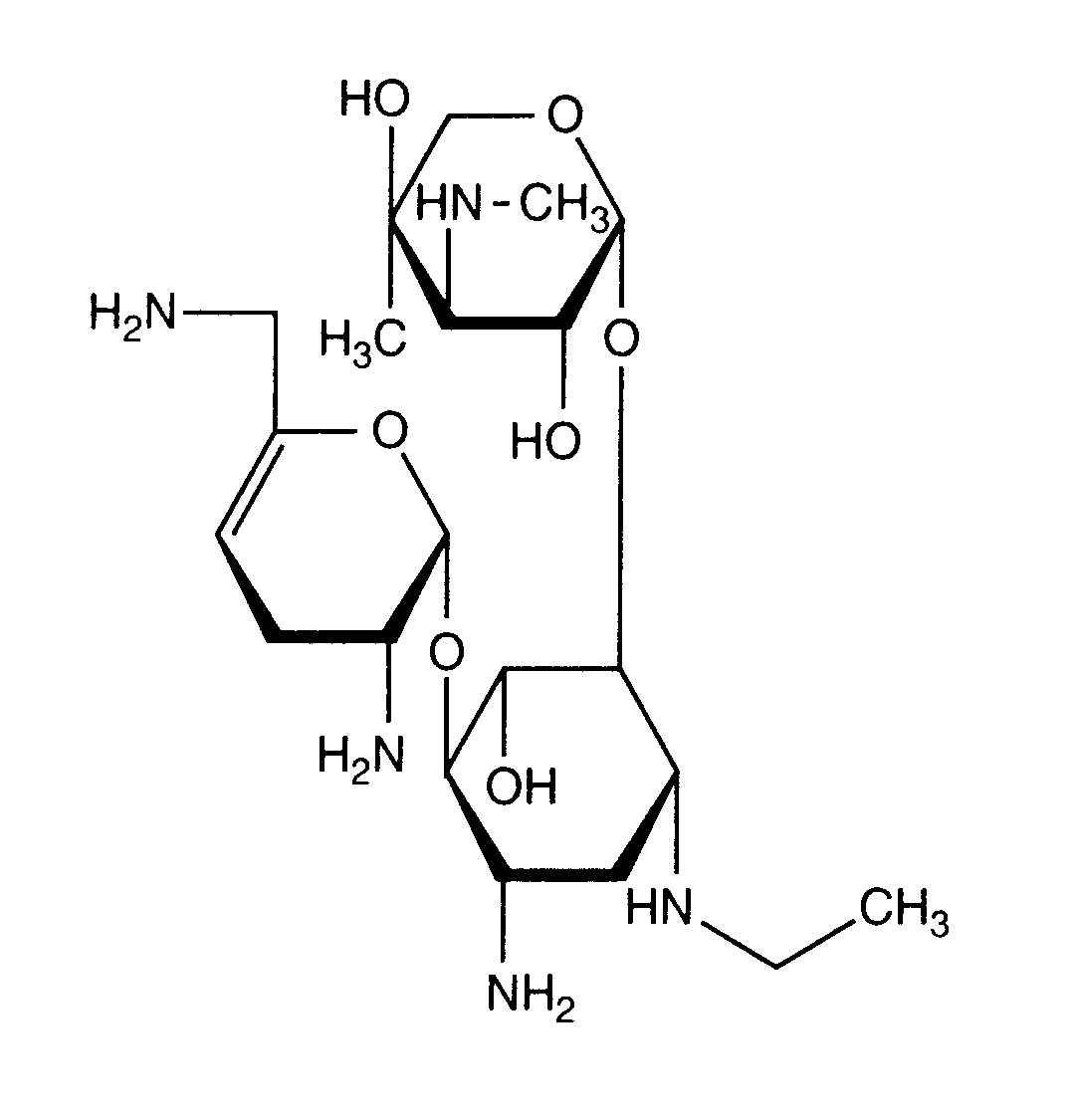
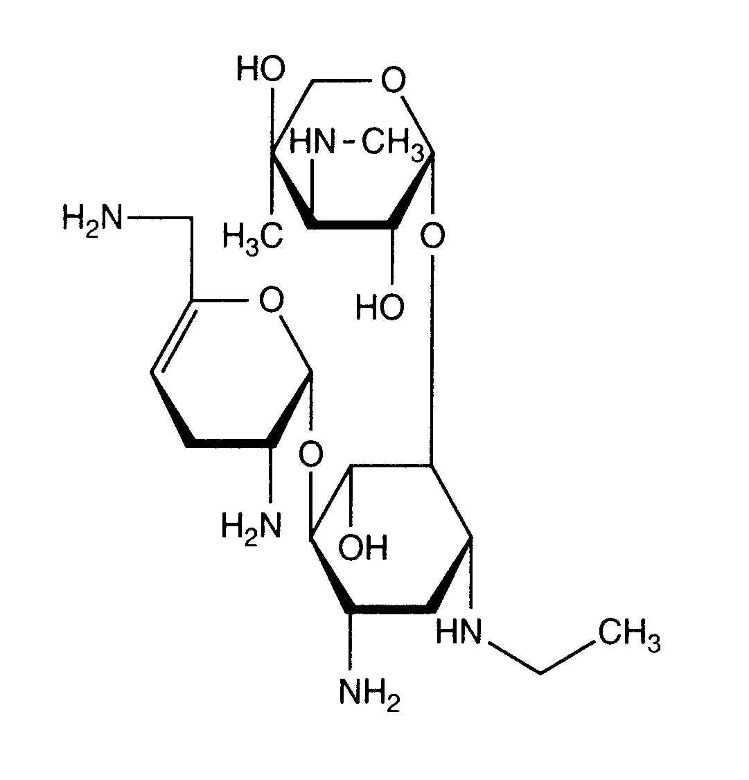
Netilmicin sulfate
Molekylstruktur
Stabilitet av läkemedel : Netilmicin sulfate
Ingen uppgift
Mentions Légales