Utolsó frissítés :
18/03/2026
Antibiotikum   Netilmicin sulfate   
aeroszol
Injekció
Stabilitása gyógyszerészeti készítmények A keverékek stabilitása Stabilitást befolyásoló tényezők Kompatibilitás Irodalom pdf
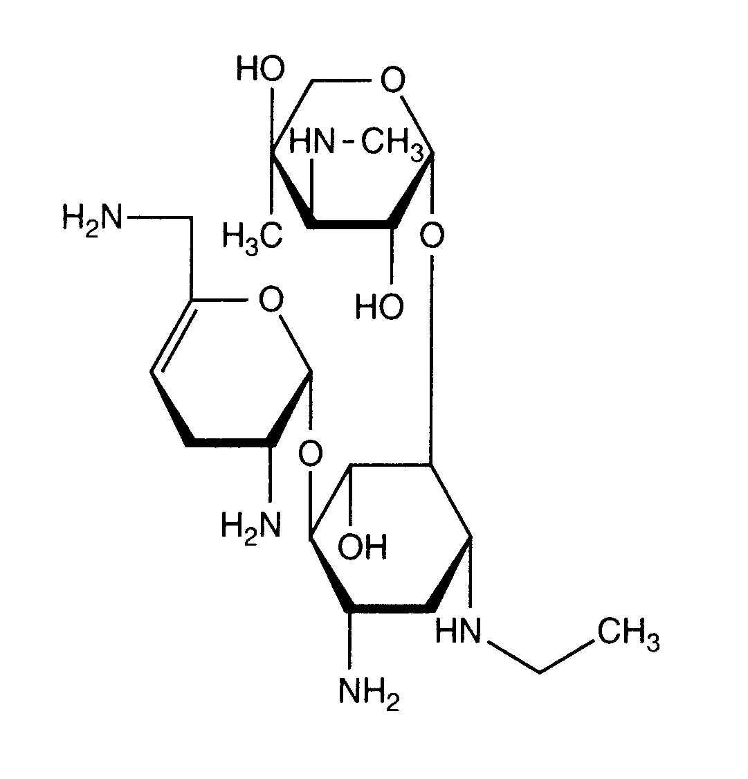
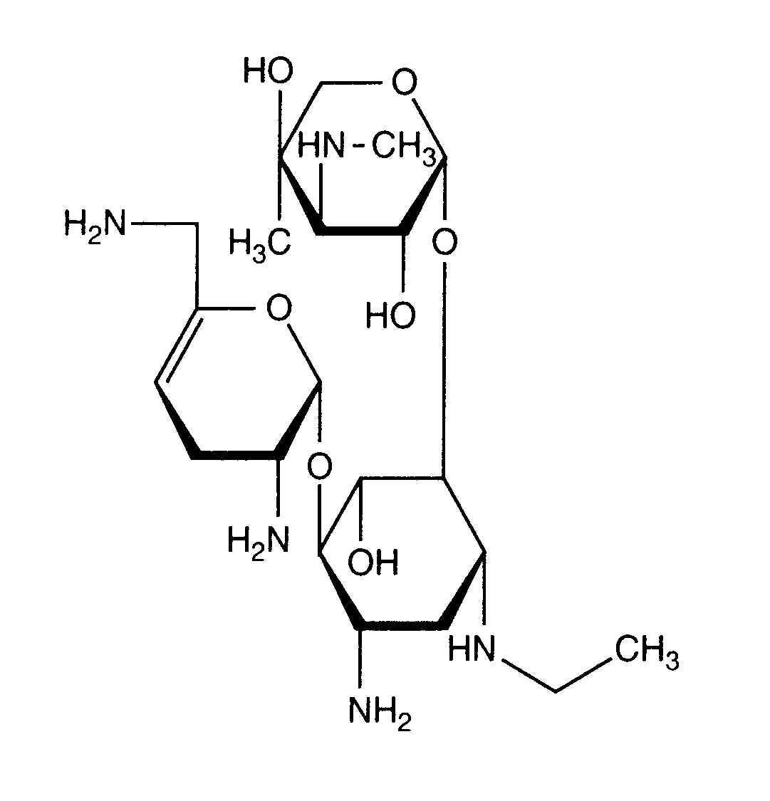
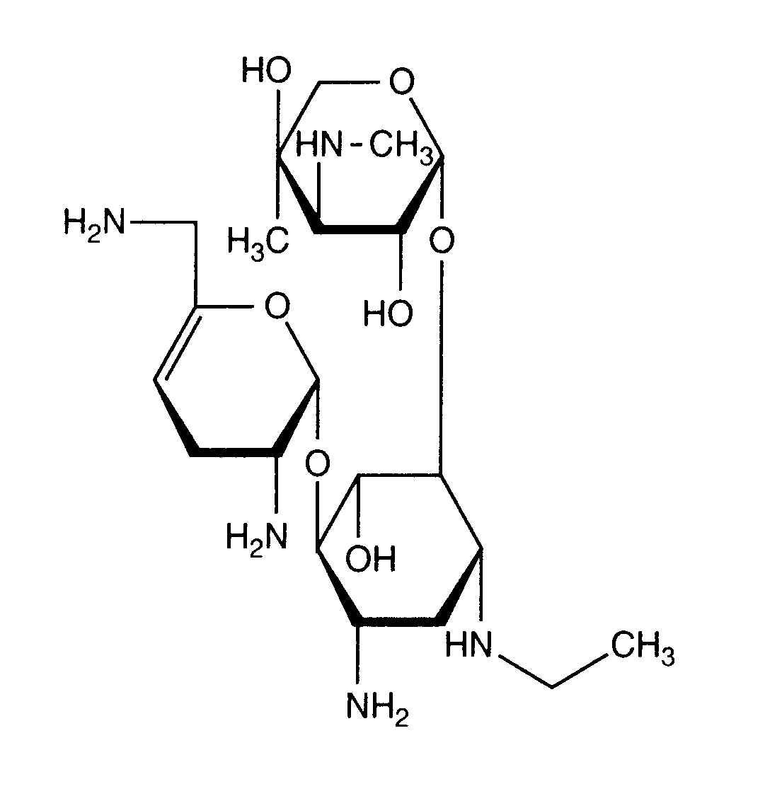
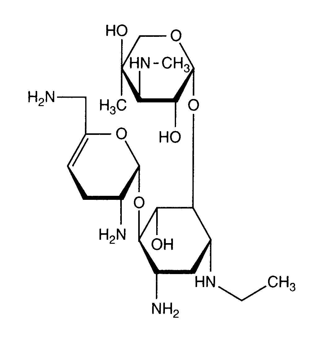
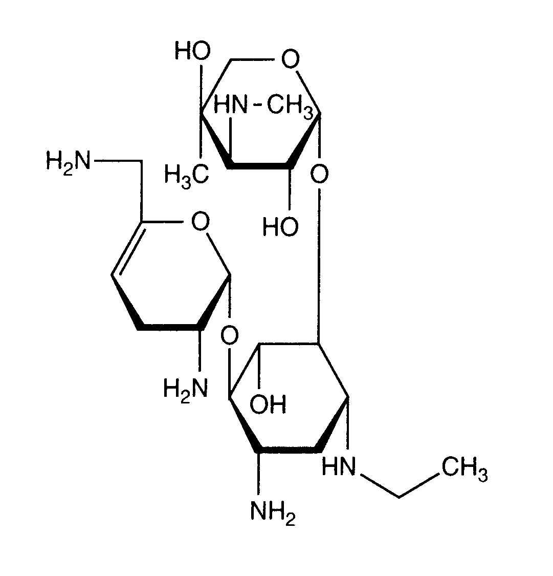
   Kémiai szerkezet   

aeroszol
Stabilitása gyógyszerészeti készítmények   aeroszol   Stabilitása gyógyszerészeti készítmények : Netilmicin sulfate      
Hiányzó adat

  Mentions Légales