Poslední aktualizace :
17/12/2025
Antibiotikas   Netilmicin sulfate   
Aerozolis
Įpurškimas
Stabilumas farmacinių preparatų Mišinių stabilumas Stabilumą lemiantys veiksniai Suderinamumas Bibliografija pdf
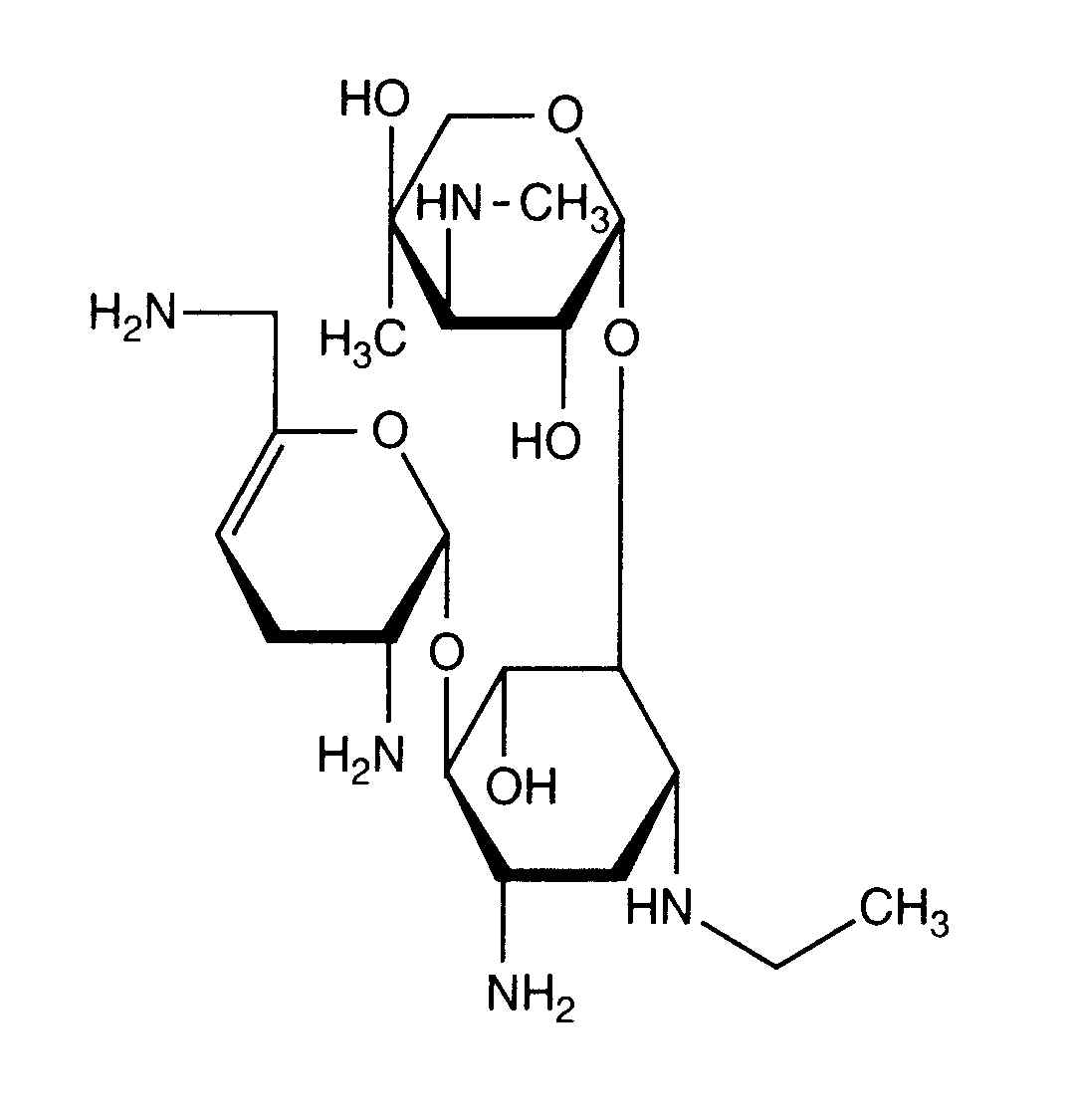
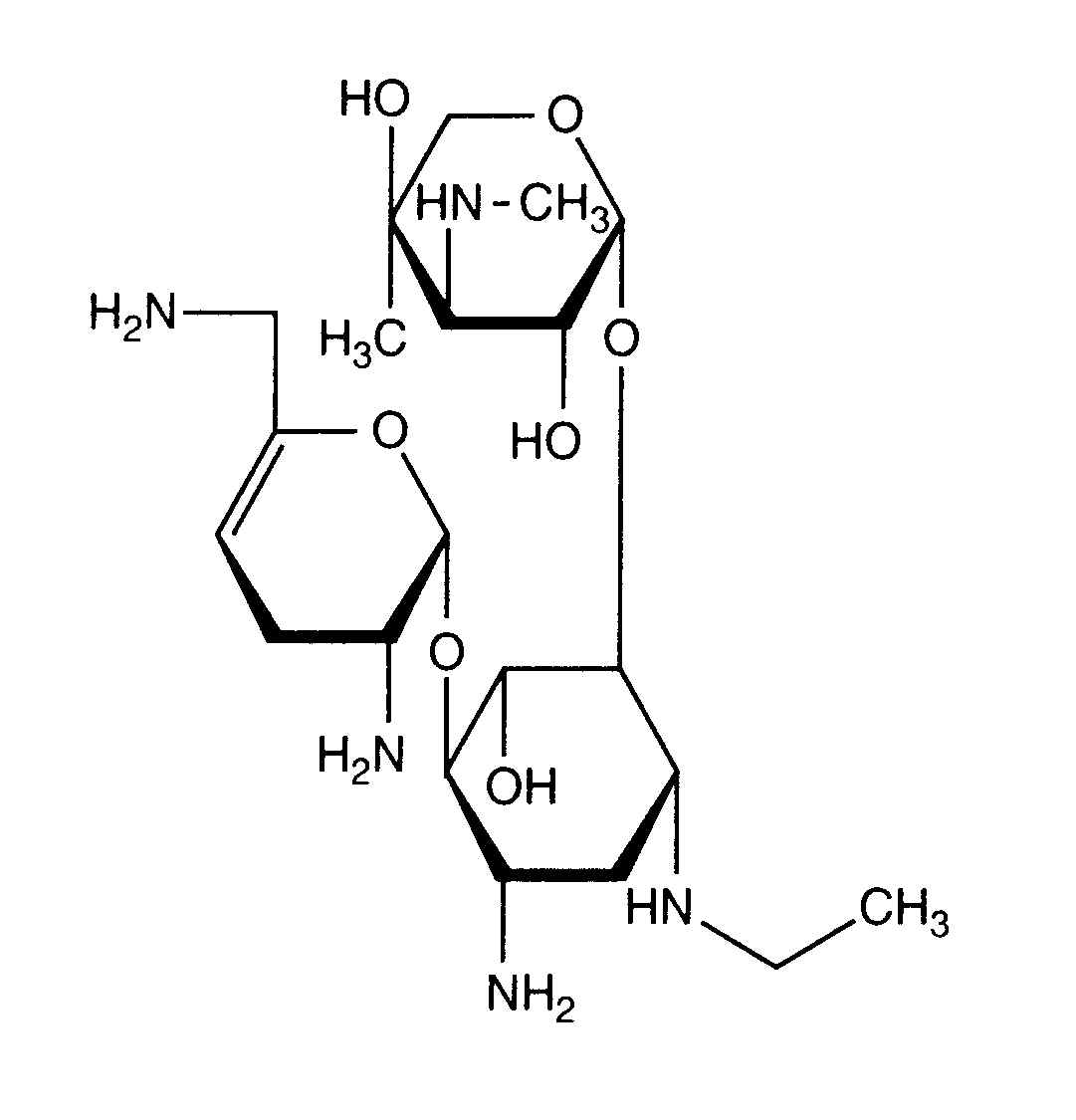
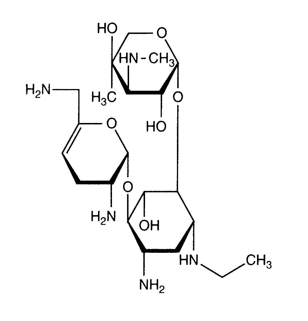
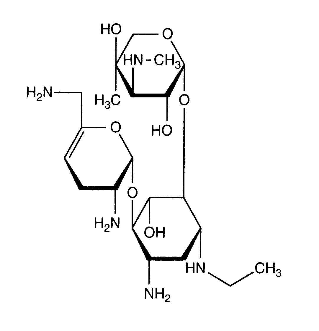
   Cheminė sandara  

Aerozolis
Stabilumas farmacinių preparatų   Aerozolis   Stabilumas farmacinių preparatų : Netilmicin sulfate      
Nėra duomenų

  Mentions Légales